精英家教网 > 高中数学 > 题目详情

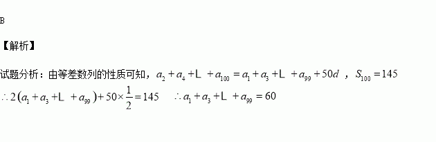
等差数列{an}的公差d=,且S100=145,则a1+a3+a5+…+a99等于( )

A.55 B.60 C.70 D.85

练习册系列答案
相关习题

科目:高中数学 来源:2015-2016学年重庆市高一上学期期中数学试卷(解析版) 题型:选择题

已知,那么的( )条件

A、充分不必要 B、充要 C、必要不充分 D、既不充分也不必要

查看答案和解析>>

科目:高中数学 来源:2015-2016学年河北石家庄二中高一上学期期中数学试卷(解析版) 题型:填空题

已知,则 _____.

查看答案和解析>>

科目:高中数学 来源:2015-2016学年江苏省高邮市高一上学期期中调研数学试卷(解析版) 题型:填空题

函数在区间上的最大值和最小值之和为

查看答案和解析>>

科目:高中数学 来源:2015-2016学年吉林省扶余市高一上学期期中考试数学试卷(解析版) 题型:选择题

下列函数中与函数相等的函数是

A. B. C. D.

查看答案和解析>>

科目:高中数学 来源:2015-2016学年河南省英文学校高二上学期期中考试数学试卷(解析版) 题型:选择题

在△ABC中,已知sin2B-sin2C-sin2A=sin Asin C,则角B的大小为

A.60° B.30° C.120° D.150°

查看答案和解析>>

科目:高中数学 来源:2016届四川省成都市高三11月段测三理科数学试卷(解析版) 题型:解答题

己知函数f(x)=+blnx+c(a>0)的图像在点(1,f(1))处的切线方程为x-y-2=0

(1)用a表示b,c;

(2)若函数g(x)=x-f(x)在x∈(0,1]上的最大值为2,求实数a的取值范围.

查看答案和解析>>

科目:高中数学 来源:2015-2016学年浙江省高二上学期期中数学试卷(解析版) 题型:填空题

如果直线和函数的图象恒过同一个定点,且该定点始终落在圆的内部或圆上,那么的取值范围

查看答案和解析>>

科目:高中数学 来源:2015-2016学年陕西省西安市高二上学期期中考试理科数学试卷(解析版) 题型:选择题

设数列是这个数列的( )

A.第六项 B.第七项 C.第八项 D.第九项

查看答案和解析>>

同步练习册答案