精英家教网 > 高中数学 > 题目详情

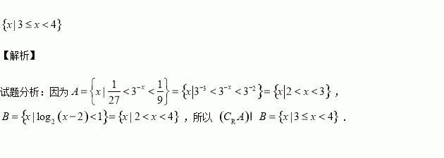
已知,则 _____.

练习册系列答案
相关习题

科目:高中数学 来源:2016届宁夏吴忠中学高三上第四次月考文科数学试卷(解析版) 题型:选择题

已知某几何体的三视图如图所示,则该几何体的体积为( )

A. B. C. D.

查看答案和解析>>

科目:高中数学 来源:2015-2016学年吉林长春十一中高一上学期期中文科数学卷(解析版) 题型:解答题

已知函数,其中是偶函数.

(1)求实数的值;

(2)求函数的定义域;

(3)若函数的图象有且只有一个公共点,求实数的取值范围.

查看答案和解析>>

科目:高中数学 来源:2015-2016学年黑龙江哈尔滨师大附中高二上期中理数学卷(解析版) 题型:解答题

如图,四棱锥,底面ABCD为矩形,底面,点是棱的中点.

(Ⅰ)证明:平面

(Ⅱ)若,求二面角的平面角的余弦值.

查看答案和解析>>

科目:高中数学 来源:2015-2016学年河北省高一上学期期中数学试卷(解析版) 题型:选择题

若定义在上的函数满足:对任意,则下列说法一定正确的是( )

A.为奇函数 B.为偶函数

C.为奇函数 D.为偶函数

查看答案和解析>>

科目:高中数学 来源:2015-2016学年广东汕头市高二10月月考数学卷(解析版) 题型:解答题

如图,三棱锥的三条侧棱两两垂直,即:,且平面并交平面于点,请问点的什么心(内心、外心、垂心、重心、中心等)? 并证明你的结论.

查看答案和解析>>

科目:高中数学 来源:2015-2016学年陕西省西安市高一上学期期中考试数学试卷(解析版) 题型:选择题

,则的大小关系是( )

A、 B、 C、 D、

查看答案和解析>>

科目:高中数学 来源:2015-2016学年陕西省西安市高二上学期期中考试文科数学试卷(解析版) 题型:选择题

等差数列{an}的公差d=,且S100=145,则a1+a3+a5+…+a99等于( )

A.55 B.60 C.70 D.85

查看答案和解析>>

科目:高中数学 来源:2015-2016学年江苏省高一上学期期中数学试卷(解析版) 题型:填空题

如图,点P从(1,0)出发,沿单位圆按顺时针方向运动弧长到达Q点,则Q点的坐标为

查看答案和解析>>

同步练习册答案