精英家教网 > 高中数学 > 题目详情
已知钝角△ABC中,角A、B、C的对边分别为a、b、c,且有
(1)求角B的大小;
(2)设向量,且,求t的值.

解:(1)∵
由正弦定理得:



因为在△ABC中sin(B+C)=sinA则

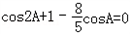
(2)∵


由sin2A+cos2A=1,sinA>0

练习册系列答案
  • 课课练与单元测试系列答案
  • 世纪金榜小博士单元期末一卷通系列答案
  • 单元测试AB卷台海出版社系列答案
  • 黄冈新思维培优考王单元加期末卷系列答案
  • 名校名师夺冠金卷系列答案
  • 小学英语课时练系列答案
  • 培优新帮手系列答案
  • 天天向上一本好卷系列答案
  • 小学生10分钟应用题系列答案
  • 课堂作业广西教育出版社系列答案
  • 年级 高中课程 年级 初中课程
    高一 高一免费课程推荐! 初一 初一免费课程推荐!
    高二 高二免费课程推荐! 初二 初二免费课程推荐!
    高三 高三免费课程推荐! 初三 初三免费课程推荐!
    相关习题

    科目:高中数学 来源: 题型:

    已知钝角△ABC中,角A、B、C的对边分别为a、b、c,且有(
    2
    a-c)cosB=bcosC

    (1)求角B的大小;
    (2)设向量
    m
    =(cos2A+1,cosA),
    n
    =(1,-
    8
    5
    )
    ,且
    m
    n
    ,求tan(
    π
    4
    +A)
    的值.

    查看答案和解析>>

    科目:高中数学 来源: 题型:

    已知钝角△ABC中,AB=2,AC=1,△ABC的面积为
    3
    2
    ,则
    AB
    AC
    的值为(  )

    查看答案和解析>>

    科目:高中数学 来源:2010-2011学年浙江省高三上学期11月月考理科数学卷 题型:解答题

    (本小题14分)

        已知钝角△ABC中,角ABC的对边分别为abc,且有

       (Ⅰ)求角B的大小;

       (Ⅱ)设向量,且mn,求的值.

     

    查看答案和解析>>

    科目:高中数学 来源:2010年山东省济宁市高三第二次模拟考试数学(理) 题型:解答题

    (本小题12分)已知钝角△ABC中,角A、B、C的对边分别为a、b、c,且有

       (1)求角B的大小;

       (2)设向量的值。

     

    查看答案和解析>>

    科目:高中数学 来源:2010年山东省济宁市高三第二次模拟考试数学(理) 题型:解答题

    (本小题12分)已知钝角△ABC中,角A、B、C的对边分别为a、b、c,且有
    (1)求角B的大小;
    (2)设向量的值。

    查看答案和解析>>

    同步练习册答案