精英家教网 > 高中数学 > 题目详情

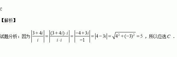
为虚数单位,则复数= ( )

A.3 B.4 C.5 D.6

练习册系列答案
相关习题

科目:高中数学 来源:2015-2016学年广东省清远市实验学校高一上学期期中数学试卷(解析版) 题型:选择题

函数若f(x)=3,则x的值是( )

A.± B. C.1, D.1,

查看答案和解析>>

科目:高中数学 来源:2016届山西省高三10月月考文科数学试卷(解析版) 题型:填空题

已知函数满足条件:上的单调函数且,则的值为 _____.

查看答案和解析>>

科目:高中数学 来源:2016届辽宁省沈阳市高三上学期期中理科数学试卷(解析版) 题型:选择题

某几何体的三视图如图所示,则这个几何体的体积为( )

A. B. C. D.

查看答案和解析>>

科目:高中数学 来源:2016届湖南省高三上第三次月考文数学卷(解析版) 题型:解答题

选修4-5:不等式选讲

已知函数

(1)解不等式

(2)若存在实数,使得,求实数的取值范围.

查看答案和解析>>

科目:高中数学 来源:2015-2016学年山西省高二上期中文科数学试卷(解析版) 题型:选择题

已知两条直线,两个平面,下面四个命题中不正确的是

A.

B.

C.

D.

查看答案和解析>>

科目:高中数学 来源:2015-2016学年江西省吉安市高一上学期期中数学试卷(解析版) 题型:解答题

已知函数

(1)当时,求函数的最大值与最小值;

(2)求实数a的取值范围,使在区间上是单调函数.

查看答案和解析>>

科目:高中数学 来源:2015-2016学年吉林省高一上期中文科数学试卷(解析版) 题型:选择题

函数 的零点个数为( )

A.0 B.1 C.2 D.3

查看答案和解析>>

科目:高中数学 来源:2016届宁夏吴忠中学高三上第四次月考文科数学试卷(解析版) 题型:选择题

函数)的最大值与最小值之和为( )

A. B. C. D.

查看答案和解析>>

同步练习册答案