精英家教网 > 高中数学 > 题目详情

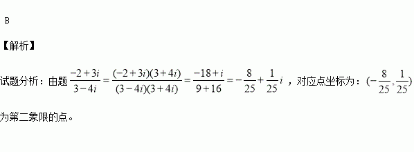
在复平面内,复数所对应的点位于( )

A. 第一象限 B. 第二象限 C. 第三象限 D. 第四象限

练习册系列答案
相关习题

科目:高中数学 来源:2015-2016学年山西怀仁一中高一下第三次月考理科数学卷(解析版) 题型:选择题

已知向量是两个不共线的向量,若共线,则( )

A. B. C. D.

查看答案和解析>>

科目:高中数学 来源:2015-2016学年福建省高一下学期第一次月考数学试卷(解析版) 题型:选择题

已知直线都是正数)与圆相切,则以为三边长的三角形( )

A、是锐角三角形 B、是直角三角形 C、是钝角三角形 D、不存在

查看答案和解析>>

科目:高中数学 来源:2015-2016学年山西省高二3月月考文科数学试卷(解析版) 题型:填空题

体积为的一个正方体,其全面积与球的表面积相等,则球的体积等于

查看答案和解析>>

科目:高中数学 来源:2015-2016学年山西省高二3月月考文科数学试卷(解析版) 题型:选择题

执行下图的程序框图,若输入的分别为1,2,3,则输出的=( )

. . . .

查看答案和解析>>

科目:高中数学 来源:2015-2016学年山西省高二3月月考理科数学试卷(解析版) 题型:解答题

已知在中,角的对边分别为,且

(1)求角的大小;

(2)若的面积,求的值.

查看答案和解析>>

科目:高中数学 来源:2015-2016学年山西省高二3月月考理科数学试卷(解析版) 题型:选择题

定义在上的函数,是它的导函数,且恒有成立.则( )

A. B.

C. D.

查看答案和解析>>

科目:高中数学 来源:2015-2016学年甘肃省嘉峪关市高二上学期期末文科数学试卷(解析版) 题型:解答题

已知命题,命题的充分不必要条件,求的取值范围.

查看答案和解析>>

科目:高中数学 来源:2015-2016学年安徽省高一下期中数学试卷(解析版) 题型:解答题

平面内有一个和一点,线段的中点分别为的中点分别为,设.

(1)试用表示向量

(2)证明线段交于一点且互相平分.

查看答案和解析>>

同步练习册答案