精英家教网 > 高中数学 > 题目详情

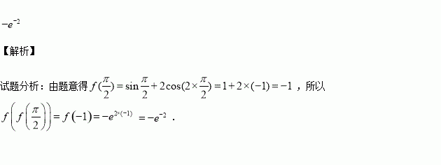
已知函数,则____________.

练习册系列答案
相关习题

科目:高中数学 来源:2017届山西长治二中等五校高三上学期联考一数学(理)试卷(解析版) 题型:选择题

已知函数,若不等式<0对任意均成立,则的取值范围为( )

A. B.

C. D.

查看答案和解析>>

科目:高中数学 来源:2015-2016学年河北定州中学高一承智班上周练二数学试卷(解析版) 题型:解答题

计算:

(1)

(2).

查看答案和解析>>

科目:高中数学 来源:2015-2016学年河北定州中学高一承智班上周练二数学试卷(解析版) 题型:选择题

已知方程有两个不等实根,则实数的取值范围是( )

A. B. C. D.

查看答案和解析>>

科目:高中数学 来源:2015-2016学年贵州思南中学高二下学期期末数学文试卷(解析版) 题型:解答题

某汽车公司为调查店个数对该公司汽车销量的影响,对同等规模的五座城市的店一季度汽车销量进行了统计,结果如下:

城市

店个数

3

4

6

5

2

销量(台)

28

30

35

31

26

(1)根据该统计数据进行分析,求关于的线性回归方程;

(2)现要从三座城市的5家店中选取2家做深入调查,求被选中的店来自同一城市的概率.

附:回归直线的斜率和截距的最小二乘法估计公式分别为:

查看答案和解析>>

科目:高中数学 来源:2015-2016学年贵州思南中学高二下学期期末数学文试卷(解析版) 题型:选择题

已知,若,则等于( )

A.-2 B.-1 C.0 D.1

查看答案和解析>>

科目:高中数学 来源:2015-2016学年贵州思南中学高二下学期期末数学文试卷(解析版) 题型:选择题

若集合,则( )

A.B.C.D.

查看答案和解析>>

科目:高中数学 来源:2015-2016学年湖南省长沙市高二下学业水平模拟数学试卷(解析版) 题型:选择题

已知一个算法,其流程图如下,则输岀的结果是( )

A.8 B.9 C.10 D.11

查看答案和解析>>

科目:高中数学 来源:2015-2016学年湖南省高二下学业水平模拟数学试卷(2)(解析版) 题型:选择题

直线L1:ax+3y+1=0,L2:2x+(a+1)y+1=0,若L1∥L2,则a的值为( )

A.﹣3 B.2 C.﹣3或2 D.3或﹣2

查看答案和解析>>

同步练习册答案