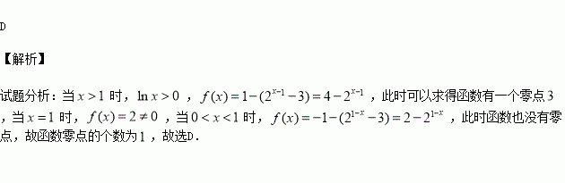
精英家教网 > 高中数学 > 题目详情

已知符号函数,则函数的零点个数为( )

A.4 B.3 C.2 D.1

练习册系列答案
相关习题

科目:高中数学 来源:2016届宁夏银川市高三上学期统练二文科数学试卷(解析版) 题型:解答题

(本题满分10分)选修4-1:几何证明选讲

如图,A,B,C,D四点在同一圆上,AD的延长线与BC的延长线交于E点,且EC=ED.

(1)证明:CD∥AB;

(2)延长CD到F,延长DC到G,使得EF=EG,证明:A,B,G,F四点共圆.

查看答案和解析>>

科目:高中数学 来源:2016届湖北省等高三9月联考理科数学试卷(解析版) 题型:选择题

已知函数若函数

有四个零点,则的取值范围是

A. B. C. D.

查看答案和解析>>

科目:高中数学 来源:2016届河北省高三上第二次月考文科数学试卷B(解析版) 题型:选择题

的图象按向量平移,则平移后所得图象的解析式为( )

A.

B.

C.

D.

查看答案和解析>>

科目:高中数学 来源:2016届河北省高三上第二次月考文科数学试卷A(解析版) 题型:选择题

已知是第二象限角,,则( )

A. B. C. D.

查看答案和解析>>

科目:高中数学 来源:2016届河北省高三上第二次月考理科数学试卷A(解析版) 题型:选择题

设函数的导函数为,对任意R都有成立,则( )

A.

B.

C.

D.的大小不确定

查看答案和解析>>

科目:高中数学 来源:2016届福建省四地六校高三上学期10月联考文科数学试卷(解析版) 题型:选择题

下列命题中的假命题是( )

A. B.

C. D.

查看答案和解析>>

科目:高中数学 来源:2013-2014学年辽宁省高考前最后模拟理科数学试卷(解析版) 题型:选择题

已知内接于单位圆,则长为的三条线段( )

A.能构成一个三角形,其面积大于面积的

B.能构成一个三角形,其面积等于面积的

C.能构成一个三角形,其面积小于面积的

D.不一定能构成三角形

查看答案和解析>>

科目:高中数学 来源:2016届河北省高三上第二次月考理科数学A卷(解析版) 题型:填空题

把函数图象上各点向右平移个单位,得到函数的图象,则的最小值为

查看答案和解析>>

同步练习册答案