精英家教网 > 高中数学 > 题目详情
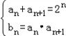
已知数列{an}的相邻两项an,an+1是关于x的方程x2﹣2nx+bn=0(n∈N*)的两实根,且a1=1.
(1)求证:数列是等比数列;
(2)设Sn是数列{an}的前n项和,求Sn
(3)问是否存在常数λ,使得bn>λSn对任意n∈N*都成立,若存在,求出λ的取值范围,若不存在,请说明理由.
解:(1)证明:∵an,an+1是关于x的方程x2﹣2nx+bn=0(n∈N*)的两实根,


故数列是首项为,公比为﹣1的等比数列.
(2)由(1)得,即

=
(3)由(2)得
要使bn>λSn,对n∈N*都成立,
(*)
①当n为正奇数时,由(*)式得:

∵2n+1-1>0,
对任意正奇数n都成立,
为奇数)的最小值为1.
∴λ<1.
②当n为正偶数时,由(*)式得:

∵2n-1>0,
对任意正偶数n都成立,
为偶数)的最小值为

综上所述得,存在常数λ,使得bn>λSn
n∈N*都成立,λ的取值范围为(﹣∞,1).
练习册系列答案
相关习题

科目:高中数学 来源: 题型:

13、已知数列{an}的通项公式为an=(2n-1)•2n,我们用错位相减法求其前n项和Sn:由Sn=1×2+3×22+5×23+…(2n-1)•2n得2Sn=1×22+3×23+5×24+…(2n-1)•2n+1,两式项减得:-Sn=2+2×22+2×23+…+2×2n-(2n-1)•2n+1,求得Sn=(2n-3)•2n+1+6.类比推广以上方法,若数列{bn}的通项公式为bn=n2•2n
则其前n项和Tn=
(n2-2n+3)•2n+1-6

查看答案和解析>>

科目:高中数学 来源: 题型:

已知数列{an}的通项为an=(2n-1)•2n,求其前n项和Sn时,我们用错位相减法,即
由Sn=1•2+3•22+5•23+…+(2n-1)•2n得2Sn=1•22+3•23+5•24+…+(2n-1)•2n+1
两式相减得-Sn=2+2•22+2•23+…+2•2n-(2n-1)•2n+1
求出Sn=2-(2-2n)•2n+1.类比推广以上方法,若数列{bn}的通项为bn=n2•2n,则其前n项和Tn=
(n2-2n+3)•2n+1-6
(n2-2n+3)•2n+1-6

查看答案和解析>>

科目:高中数学 来源:不详 题型:填空题

已知数列{an}的通项公式为an=(2n-1)•2n,我们用错位相减法求其前n项和Sn:由Sn=1×2+3×22+5×23+…(2n-1)•2n得2Sn=1×22+3×23+5×24+…(2n-1)•2n+1,两式项减得:-Sn=2+2×22+2×23+…+2×2n-(2n-1)•2n+1,求得Sn=(2n-3)•2n+1+6.类比推广以上方法,若数列{bn}的通项公式为bn=n2•2n
则其前n项和Tn=______.

查看答案和解析>>

科目:高中数学 来源:2011-2012学年福建省厦门一中高二(上)期中数学试卷(理科)(解析版) 题型:填空题

已知数列{an}的通项公式为an=(2n-1)•2n,我们用错位相减法求其前n项和Sn:由Sn=1×2+3×22+5×23+…(2n-1)•2n得2Sn=1×22+3×23+5×24+…(2n-1)•2n+1,两式项减得:-Sn=2+2×22+2×23+…+2×2n-(2n-1)•2n+1,求得Sn=(2n-3)•2n+1+6.类比推广以上方法,若数列{bn}的通项公式为bn=n2•2n
则其前n项和Tn=   

查看答案和解析>>

科目:高中数学 来源:2012-2013学年福建省莆田一中高三(上)期中数学试卷(理科)(解析版) 题型:填空题

已知数列{an}的通项公式为an=(2n-1)•2n,我们用错位相减法求其前n项和Sn:由Sn=1×2+3×22+5×23+…(2n-1)•2n得2Sn=1×22+3×23+5×24+…(2n-1)•2n+1,两式项减得:-Sn=2+2×22+2×23+…+2×2n-(2n-1)•2n+1,求得Sn=(2n-3)•2n+1+6.类比推广以上方法,若数列{bn}的通项公式为bn=n2•2n
则其前n项和Tn=   

查看答案和解析>>

同步练习册答案