精英家教网 > 高中数学 > 题目详情
已知焦点在x轴上,对称轴为坐标轴的椭圆的离心率为,且以该椭圆上的点和椭圆的两焦点F1,F2为顶点的三角形的周长为6,
(1)求椭圆的标准方程;
(2)设过点N(1,0)斜率为k直线l与椭圆相交与A、B两点,若,求直线l斜率k的取值范围.
【答案】分析:(1)直接利用离心率为,以及三角形的周长为6列出关于a,b,c的方程,求出a,b,c即可得椭圆的标准方程;
(2)先设直线l的方程为y=k(x-1),再把直线方程与椭圆的标准方程联立求出A、B两点的坐标与k之间的关系,代入,整理后即可直线l斜率k的取值范围.
解答:解:(1)设椭圆的标准方程为
依题有2a+2c=6,即a+c=6,又因为
所以a=2,c=1,
∴b2=a2-c2=3,
所以椭圆的标准方程为
(2)设过点N(1,0)的斜率为k直线l的方程为y=k(x-1),A(x1,y1),B(x2,y2
可得(3+4k2)x2-8k2x+4k2-12=0


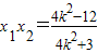
=(1+k2)[x1•x2-(x1+x2)+1]
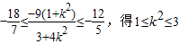
=


点评:本题主要考查直线与圆锥曲线的综合问题.在解决直线与圆锥曲线的位置关系时,韦达定理是一个必不可少的工具,比如本题的第二问.
练习册系列答案
相关习题

科目:高中数学 来源: 题型:

已知圆C方程为x2+y2-8mx-(6m+2)y+6m+1=0(m∈R,m≠0),椭圆中心在原点,焦点在x轴上.
(1)证明圆C恒过一定点M,并求此定点M的坐标;
(2)判断直线4x+3y-3=0与圆C的位置关系,并证明你的结论;
(3)当m=2时,圆C与椭圆的左准线相切,且椭圆过(1)中的点M,求此时椭圆方程;在x轴上是否存在两定点A,B,使得对椭圆上任意一点Q(异于长轴端点),直线QA,QB的斜率之积为定值?若存在,求出A,B坐标;若不存在,请说明理由.

查看答案和解析>>

科目:高中数学 来源: 题型:

已知椭圆的中心在原点,焦点在x轴上,长轴长是短轴长的2倍且经过点M(2,1),平行于OM的直线l交椭圆于A、B两点.
(1)求椭圆的方程;
(2)已知e=(t,0),p=λ(
MA
|
MA
|
+
MB
|
MB
|
)
,是否对任意的正实数t,λ,都有
e
p
=0
成立?请证明你的结论.

查看答案和解析>>

科目:高中数学 来源: 题型:

已知命题p:“对任意实数x都有ax2+ax+1>0恒成立”,命题q:“方程(a-1)x2+(3-a)y2-(3-a)(a-1)=0表示焦点在x轴上的椭圆”.
(1)若命题p是真命题,求实数a的取值范围;
(2)若命题p,q中有且只有一个真命题,求实数a的取值范围.

查看答案和解析>>

科目:高中数学 来源: 题型:

(2012•吉安县模拟)已知椭圆的中心在原点,焦点在x轴上,长轴长是短轴长的2倍,且经过点M(2,1),平行于OM直线?在y轴上的截距为m(m<0),设直线?交椭圆于两个不同点A、B,
(1)求椭圆方程;
(2)求证:对任意的m的允许值,△ABM的内心I在定直线x=2上.

查看答案和解析>>

科目:高中数学 来源: 题型:

已知椭圆的中心在原点,焦点在x轴上,F1、F2分别为左、右焦点,椭圆的一个顶点与两焦点构成等边三角形,且|
F1F2
|=2.
(1)求椭圆方程;
(2)对于x轴上的某一点T,过T作不与坐标轴平行的直线L交椭圆于P、Q两点,若存在x轴上的点S,使得对符合条件的L恒有∠PST=∠QST成立,我们称S为T的一个配对点,当T为左焦点时,求T 的配对点的坐标;
(3)在(2)条件下讨论当T在何处时,存在有配对点?

查看答案和解析>>

同步练习册答案