精英家教网 > 高中数学 > 题目详情

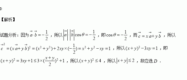
均为单位向量, ,则的最大值是( )

A.1 B. C. D.2

练习册系列答案
相关习题

科目:高中数学 来源:2015-2016学年江西省等三校高二上第一次联考数学试卷(解析版) 题型:选择题

下列说法中正确的个数有( )

①两平面平行,夹在两平面间的平行线段相等;

②两平面平行,夹在两平面间的相等的线段平行;

③两条直线被三个平行平面所截,截得的线段对应成比例;

④如果夹在两平面间的三条平行线段相等,那么这两个平面平行.

A.1个 B.2个 C.3个 D.4个

查看答案和解析>>

科目:高中数学 来源:2015-2016学年广东省普宁市高二上期中理科数学试卷(解析版) 题型:填空题

在数列中,已知,且数列是等比数列,则

查看答案和解析>>

科目:高中数学 来源:2016届云南省玉溪市高三上学期期中文科数学试卷(解析版) 题型:解答题

(本小题满分12分)某驾校为了保证学员科目二考试的通过率,要求学员在参加正式考试(下面简称正考)之 前必须参加预备考试(简称预考),且在预考过程中评分标准得以细化,预考成绩合格者才能参加正考.现将10名学员的预考成绩绘制成茎叶图,规定预考成绩85分以上为合格,不低于90分为优秀。若上述数据的中位数为85.5,平均数为83.

(Ⅰ)求的值,指出该组数据的众数,并根据平均数以及参加正考的成绩标准对该驾校学员的学习情况作简单评价;

(Ⅱ)若在上述可以参加正考的学员中随机抽取2人,求其中恰有一人成绩优秀的概率.

查看答案和解析>>

科目:高中数学 来源:2016届云南省玉溪市高三上学期期中理科数学试卷(解析版) 题型:选择题

已知双曲线与抛物线有一个共同的焦点F,两曲线的一个交点为P,若,则点F到双曲线的渐近线的距离为( )

A. B. C. D.

查看答案和解析>>

科目:高中数学 来源:2016届辽宁省葫芦岛市高三上学期期中理科数学试卷(解析版) 题型:填空题

成等差数列,则的值等于________.

查看答案和解析>>

科目:高中数学 来源:2016届辽宁省抚顺市高三上学期第一次模拟文科数学试卷(解析版) 题型:选择题

在区间内随机取两个实数,则满足的概率是( )

A. B. C. D.

查看答案和解析>>

科目:高中数学 来源:2016届贵州省贵阳市高三上学期第三次月考文科数学试卷(解析版) 题型:填空题

某单位为了了解用电量度与气温之间的关系,随机统计了某天的用电量与当天气温,并制作了对照表

由表中数据得回归直线方程,预测当气温为时,用电量的度数是

查看答案和解析>>

科目:高中数学 来源:2015-2016学年湖南省常德市高一上学期期中数学试卷(解析版) 题型:解答题

(共10分)

(1)若,求的值;

(2)已知,求的值.

查看答案和解析>>

同步练习册答案