精英家教网 > 高中数学 > 题目详情

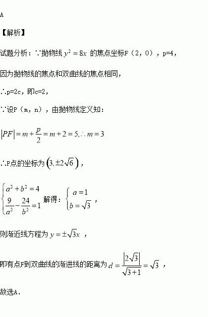
已知双曲线与抛物线有一个共同的焦点F,两曲线的一个交点为P,若,则点F到双曲线的渐近线的距离为( )

A. B. C. D.

练习册系列答案
相关习题

科目:高中数学 来源:2015-2016学年辽宁省大连市高二上期中理科数学试卷(解析版) 题型:选择题

椭圆的短轴长为

(A) (B) (C) (D)

查看答案和解析>>

科目:高中数学 来源:2015-2016学年广东省普宁市高二上期中文科数学试卷(解析版) 题型:解答题

(本小题满分12分)

已知,且

(Ⅰ)求的值;

(Ⅱ)若,求的值.[来源

查看答案和解析>>

科目:高中数学 来源:2016届重庆市高三上学期第三次月考理科数学试卷(解析版) 题型:填空题

已知向量,若,则

查看答案和解析>>

科目:高中数学 来源:2016届云南省玉溪市高三上学期期中文科数学试卷(解析版) 题型:选择题

已知程序框图如图,若,则输出的数是( )

A. B. C. D.

查看答案和解析>>

科目:高中数学 来源:2016届辽宁省葫芦岛市高三上学期期中文科数学试卷(解析版) 题型:选择题

均为单位向量, ,则的最大值是( )

A.1 B. C. D.2

查看答案和解析>>

科目:高中数学 来源:2016届辽宁省葫芦岛市高三上学期期中理科数学试卷(解析版) 题型:选择题

函数的定义域为( )

A. B. C. D.

查看答案和解析>>

科目:高中数学 来源:2016届黑龙江省牡丹江市高三上学期期中理科数学试卷(解析版) 题型:填空题

一个几何体的三视图如图,该几何体的各个顶点都在球的球面上,球的体积为

查看答案和解析>>

科目:高中数学 来源:2015-2016学年吉林实验中学高二上学期期中理科数学试卷(解析版) 题型:选择题

若直线与圆的两个交点关于直线对称,则的值分别为

(A)

(B)

(C)

(D)

查看答案和解析>>

同步练习册答案