精英家教网 > 高中数学 > 题目详情

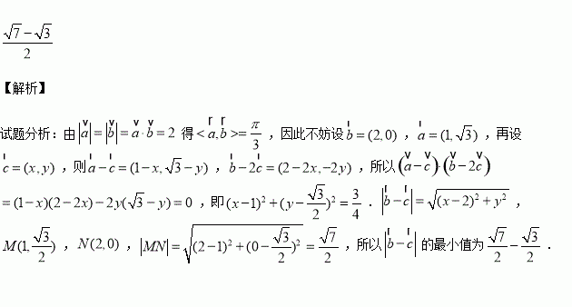
已知向量满足,则的最小值为___________.

练习册系列答案
相关习题

科目:高中数学 来源:2016届重庆市高三下学期模拟文科数学试卷(解析版) 题型:解答题

如图,三棱柱中,分别为的中点.

(1)求证:平面

(2)若,平面平面,求证:平面.

查看答案和解析>>

科目:高中数学 来源:2015-2016学年宁夏六盘山高中高二下第二次月考理数学卷(解析版) 题型:解答题

已知二项式

(1)若展开式中第5项、第6项与第7项的二项式系数成等差数列,求展开式中二项式系数最大的项的系数;

(2)若展开式前三项的二项式系数和等于79,求展开式中系数最大的项.

查看答案和解析>>

科目:高中数学 来源:2015-2016学年宁夏六盘山高中高二下第二次月考理数学卷(解析版) 题型:选择题

的展开式中的系数是( )

A.42 B.35 C.28 D.21

查看答案和解析>>

科目:高中数学 来源:2015-2016学年辽宁省庄河市高一下期中文科数学试卷(解析版) 题型:解答题

如图,三棱锥中,底面为等边三角形,分别是的中点.

(1)证明:平面平面

(2)如何在上找一点,使平面并说明理由;

(3)若,对于(2)中的点,求三棱锥的体积.

查看答案和解析>>

科目:高中数学 来源:2015-2016学年辽宁省庄河市高一下期中文科数学试卷(解析版) 题型:选择题

已知上是减函数,则实数的取值范围是( )

A. B. C. D.

查看答案和解析>>

科目:高中数学 来源:2015-2016学年辽宁省庄河市高一下期中文科数学试卷(解析版) 题型:选择题

已知平面向量,则等于( )

A.9 B.1 C.-1 D.-9

查看答案和解析>>

科目:高中数学 来源:2015-2016学年辽宁省庄河市高一下期中理科数学试卷(解析版) 题型:选择题

将函数的图象沿轴右平移个单位长度,再将图像上所有点的横坐标变为原来的2倍(纵坐标不变),所得图象的函数解析式是( )

A. B.

C. D.

查看答案和解析>>

科目:高中数学 来源:2015-2016学年广东中山一中高二下期中理科数学试卷(解析版) 题型:选择题

形如这样的数称为“波浪数”,即十位上的数字、千位上的数字均比与它们各自相邻的数字大,现从由组成的数字不重复的五位数中任取一个,则该数是“波浪数”的概率为( )

A. B. C. D.

查看答案和解析>>

同步练习册答案