精英家教网 > 高中数学 > 题目详情
设集合A={x|<0},若p、q∈A,求方程x2+2px-q2+1=0有两实根的概率.
【答案】分析:欲求方程x2+2px-q2+1=0有两个实数根的概率,先根据二次方程根的判别式求出p,q必须满足的条件,再在坐标系中画出相应的封闭曲线,最后利用几何概率的计算方法,求出它们的面积比即可.
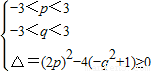
解答:解:集合A={x|<0}={x|-3<x<3},
又∵方程x2+2px-q2+1=0有两个实数根,
∴△≥0,即有:

在坐标平面内画出其表示的平面区域,如图所示,是正方形内单位圆外的部分.
其中圆的面积为π,正方形的面积为36,
根据几何概率的计算公式得,
方程x2+2px-q2+1=0有两个实数根的概率:P==
点评:本题主要考查了几何概型,简单地说,如果每个事件发生的概率只与构成该事件区域的长度(面积或体积)成比例,则称这样的概率模型为几何概率模型,简称为几何概型.
练习册系列答案
相关习题

科目:高中数学 来源: 题型:

设集合A={x|<0},B={x|x-1|<a},则“a=1”是“A∩B≠”的(    )

A.充分不必要条件                     B.必要不充分条件

C.充要条件                             D.既不充分又不必要条件

查看答案和解析>>

科目:高中数学 来源:2012-2013学年浙江省宁波市海曙区效实中学高三(上)期中数学试卷(文科)(解析版) 题型:选择题

设集合A={x|<0},B={x||x-1|<a},若“a=1”是“A∩B≠∅”的( )
A.充分不必要条件
B.必要不充分条件
C.充要条件
D.既不充分又不必要条件

查看答案和解析>>

科目:高中数学 来源:2009-2010学年重庆八中高三(上)期中数学试卷(文科)(解析版) 题型:选择题

设集合A={x|<0},B={x||x-1|<a},若“a=1”是“A∩B≠∅”的( )
A.充分不必要条件
B.必要不充分条件
C.充要条件
D.既不充分又不必要条件

查看答案和解析>>

科目:高中数学 来源:2012年黑龙江省高考数学仿真模拟试卷8(文科)(解析版) 题型:选择题

设集合A={x|<0},B={x||x-1|<a},若“a=1”是“A∩B≠∅”的( )
A.充分不必要条件
B.必要不充分条件
C.充要条件
D.既不充分又不必要条件

查看答案和解析>>

科目:高中数学 来源:2011-2012学年浙江省重点中学协作体高三(下)4月联考数学试卷(理科)(解析版) 题型:选择题

设集合A={x|<0},B={x||x-1|<a},若“a=1”是“A∩B≠∅”的( )
A.充分不必要条件
B.必要不充分条件
C.充要条件
D.既不充分又不必要条件

查看答案和解析>>

同步练习册答案