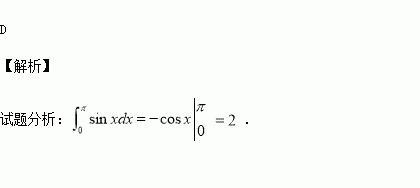
精英家教网 > 高中数学 > 题目详情

的值为( )

A. B. C.1 D.2

练习册系列答案
相关习题

科目:高中数学 来源:2017届河北衡水中学高三上学期第二次调研数学(文)试卷(解析版) 题型:选择题

的三边长, 若,且,则的大小为( )

A. B. C. D.

查看答案和解析>>

科目:高中数学 来源:2017届湖北黄冈中学高三上学期周末测试数学试卷(解析版) 题型:选择题

已知是双曲线的左焦点,是双曲线的右顶点,过点且垂直于轴的直线与双曲线交于两点,若是锐角三角形,则该双曲线的离心率的取值范围为( )

A. B. C. D.

查看答案和解析>>

科目:高中数学 来源:2017届甘肃武威二中高三上学期月考一数学(理)试卷(解析版) 题型:填空题

若函数上的最大值为4,最小值为,且函数是减函数,则____________.

查看答案和解析>>

科目:高中数学 来源:2017届甘肃武威二中高三上学期月考一数学(理)试卷(解析版) 题型:选择题

”是“函数在区间上单调递减”的( )

A.充分不必要条件 B.必要不充分条件

C.充要条件 D.既不充分也不必要条件

查看答案和解析>>

科目:高中数学 来源:2016届新疆乌鲁木齐八一中学高三上学期月考一数学(理)试卷(解析版) 题型:解答题

已知函数(a为常数)是奇函数.

(Ⅰ)求a的值与函数的定义域;

(Ⅱ)若当时,恒成立.求实数的取值范围.

查看答案和解析>>

科目:高中数学 来源:2016届新疆乌鲁木齐八一中学高三上学期月考一数学(理)试卷(解析版) 题型:选择题

已知a、b为正实数,直线y=x-a与曲线y=ln(x+b)相切,则的取值范围是( )

A.(0,) B.(0,1)

C.(0,) D.

查看答案和解析>>

科目:高中数学 来源:2017届广西南宁二中等校高三8月联考数学(理)试卷(解析版) 题型:解答题

如图,三棱柱中,,,平面平面相交于点.

(1)求证:

(2)求二面角的余弦值.

查看答案和解析>>

科目:高中数学 来源:2016-2017学年河北武邑中学高一上周考9.11数学试卷(解析版) 题型:解答题

已知二次函数和一次函数,其中且满足.

(Ⅰ)证明:函数的图像交于不同的两点;

(Ⅱ)若函数在[2,3]上的最小值为9,最大值为21,试求的值.

查看答案和解析>>

同步练习册答案