精英家教网 > 高中数学 > 题目详情

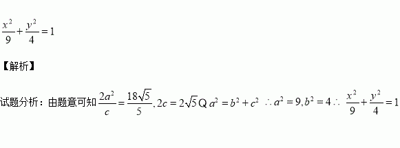
焦点在轴,两准线间的距离为,焦距为的椭圆方程为

练习册系列答案
相关习题

科目:高中数学 来源:2015-2016学年西藏日喀则一中高二10月月考文数学试卷(解析版) 题型:选择题

若函数对任意的都有恒成立,则( )

A.

B.

C.

D.的大小不确定

查看答案和解析>>

科目:高中数学 来源:2015-2016学年江西铅山一中 、横峰中学高二上学期期中理科数学卷(解析版) 题型:填空题

一组数据的平均数是2.8,方差是3.6,若将这组数据中的每一个数据都加上60,得 到一组新的数据,则所得的新数据的平均数和方差分别是__________.

查看答案和解析>>

科目:高中数学 来源:2015-2016学年湖南省高二上学期期中文科数学试卷(解析版) 题型:填空题

不等式x2﹣2x<0的解集为

查看答案和解析>>

科目:高中数学 来源:2015-2016学年山东省高一上学期期中模块考试数学试卷(解析版) 题型:选择题

函数上是减函数,则实数的取值范围是( )

A. B. C. D.

查看答案和解析>>

科目:高中数学 来源:2015-2016学年江苏省大丰市高二上学期期中考试数学试卷(解析版) 题型:填空题

不等式恒成立,则的范围是

查看答案和解析>>

科目:高中数学 来源:2015-2016学年吉林省扶余市高一上学期期中考试数学试卷(解析版) 题型:选择题

下列函数中与函数相等的函数是

A. B. C. D.

查看答案和解析>>

科目:高中数学 来源:2015-2016学年湖南省高二上学期期中考试理科数学试卷(解析版) 题型:选择题

已知数列是等差数列,且,则等于( )

A. B. C. D.

查看答案和解析>>

科目:高中数学 来源:2015-2016学年辽宁省大连市高二上期中文科数学试卷(解析版) 题型:选择题

抛物线的焦点坐标为

(A) (B) (C) (D)

查看答案和解析>>

同步练习册答案