精英家教网 > 高中数学 > 题目详情

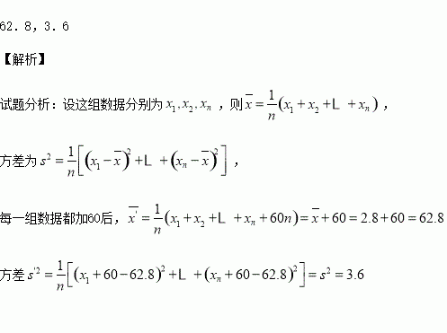
一组数据的平均数是2.8,方差是3.6,若将这组数据中的每一个数据都加上60,得 到一组新的数据,则所得的新数据的平均数和方差分别是__________.

练习册系列答案
相关习题

科目:高中数学 来源:2016届四川省成都市高三11月段测三文科数学试卷(解析版) 题型:解答题

己知椭圆C:=1(a>b>0)的离心率为,以原点为圆心,椭圆的短半轴为半径的圆与直线x-y+=0相切,过点P(4,0)且不垂直于x轴直线,与椭圆C相交于A、B两点.

(1)求椭圆C的方程:

(2)求 的取值范围;

(3)若B点关于x轴的对称点是E,证明:直线AE与x轴相交于定点.

查看答案和解析>>

科目:高中数学 来源:2015-2016学年贵州遵义航天高中高二上学期期中数学试卷(解析版) 题型:选择题

若三点A(2,2),B,C(0,4)共线,则的值等于( )

A.-2 B.0 C.2 D.4

查看答案和解析>>

科目:高中数学 来源:2015-2016学年陕西省西安市高二上学期期中考试理科数学试卷(解析版) 题型:解答题

已知,△ABC的三个内角为A,B,C,m=(sin B+sin C,0),n=(0,sin A)且

|m|2-|n|2=sin Bsin C.

(1)求角A的大小

(2)求sin B+sin C的取值范围.

查看答案和解析>>

科目:高中数学 来源:2015-2016学年辽宁省葫芦岛市高一上学期期中考试数学试卷(解析版) 题型:填空题

已知幂函数的图象过点

查看答案和解析>>

科目:高中数学 来源:2015-2016学年黑龙江省高二上学期期中数学试卷(解析版) 题型:解答题

求满足下列条件的直线的方程。

(1)经过两条直线2x-3y+10=0和3x+4y-2=0交点,且垂直于直线3x-2y+4=0;

(2)经过两条直线2x+y-8=0和x-2y+1=0交点,且平行于直线4x-3y-7=0;

查看答案和解析>>

科目:高中数学 来源:2015-2016学年广东省清远市实验学校高二上学期期中数学试卷(解析版) 题型:选择题

在半径为2的球O内任取一点P,则|OP|>1的概率为 ( )

A. B. C. D.

查看答案和解析>>

科目:高中数学 来源:2015-2016学年江苏省无锡市四校高二上学期期中考试数学试卷(解析版) 题型:填空题

焦点在轴,两准线间的距离为,焦距为的椭圆方程为

查看答案和解析>>

科目:高中数学 来源:2015-2016学年福建省高二上学期期中考试文科数学试卷(解析版) 题型:选择题

在2和8之间插入3个数,使它们与这两个数依次构成等比数列,则这3个数的积为( )

A.64 B.±64 C.16 D.±16

查看答案和解析>>

同步练习册答案