精英家教网 > 高中数学 > 题目详情
已知向量a=(4,5cosα),b=(3,-4tanα),
(Ⅰ)若ab,试求sinα的值;
(Ⅱ)若ab,且,求的值。
解:(Ⅰ)因为ab
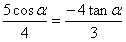
所以
所以15cos2α+16sinα=0,即15sin2α-16sinα-15=0,
解得(舍去),
所以
(Ⅱ)因为ab
所以a·b=0,即12-20cosα·tanα=0,
所以12-20sinα=0,即
因为,所以
所以
所以
练习册系列答案
相关习题

科目:高中数学 来源: 题型:

(理)已知向量
a
=(3,5,-1),
b
=(2,2,3),
c
=(4,-1,-3),则向量2
a
-3
b
+4
c
的坐标为(  )

查看答案和解析>>

科目:高中数学 来源: 题型:

(2012•北京模拟)已知向量
a
=(4,-2),向量
b
=(x,5),且
a
b
,那么x的值等于(  )

查看答案和解析>>

科目:高中数学 来源: 题型:

已知向量
a
=(1,x-5)
b
=(x,4)
,若
a
b
,则x的值为(  )

查看答案和解析>>

科目:高中数学 来源:不详 题型:单选题

(理)已知向量
a
=(3,5,-1),
b
=(2,2,3),
c
=(4,-1,-3),则向量2
a
-3
b
+4
c
的坐标为(  )
A.(16,0,-23)B.(28,0,-23)C.(16,-4,-1)D.(0,0,9)

查看答案和解析>>

科目:高中数学 来源: 题型:

已知向量a=(4,2),向量b=(x,3),且a∥b,则x=

    (A)9                        (B)6                        (C)5                       (D)3

查看答案和解析>>

同步练习册答案