精英家教网 > 高中数学 > 题目详情
两条直线A1x+B1y+C1=0,A2x+B2y+C2=0垂直的充要条件是( )
A.A1A2+B1B2=0
B.A1A2-B1B2=0
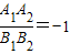
C.
D.
【答案】分析:两条直线A1x+B1y+C1=0,A2x+B2y+C2=0垂直,就是两条直线的方向向量的数量积为0,求解即可得到选项.
解答:解:直线A1x+B1y+C1=0的方向向量为(-B1,A1),直线A2x+B2y+C2=0的方向向量为(-B2,A2),
两条直线A1x+B1y+C1=0,A2x+B2y+C2=0垂直,就是两条直线的方向向量的数量积为0,
即:(-B1,A1)(-B2,A2)=0 可得A1A2+B1B2=0
故选A.
点评:本题考查两条直线垂直的判定,考查逻辑思维能力,是基础题.
练习册系列答案
相关习题

科目:高中数学 来源: 题型:

已知两条直线a1x+b1y+1=0和a2x+b2y+1=0都过点A(1,2),则过点P1(a1,b1),P2(a2,b2)的直线的方程是
 

查看答案和解析>>

科目:高中数学 来源: 题型:

已知两条直线a1x+b1y+1=0和a2x+b2y+1=0都过点A(2,3),则过两点P1(a1,b1),P2(a2,b2)的直线方程为
2x+3y+1=0
2x+3y+1=0

查看答案和解析>>

科目:高中数学 来源: 题型:

已知两条直线a1x+b1y+1=0和a2x+b2y+1=0的交点是P(2,3),则过两点Q1(a1,b1)、Q2(a2,b2)的直线方程是多少?

查看答案和解析>>

科目:高中数学 来源:2011-2012学年湖南省衡阳市七校联考高一(上)期末数学试卷(解析版) 题型:填空题

已知两条直线a1x+b1y+1=0和a2x+b2y+1=0都过点A(2,3),则过两点P1(a1,b1),P2(a2,b2)的直线方程为   

查看答案和解析>>

科目:高中数学 来源:2012-2013学年江苏省徐州市高二(上)期末数学试卷(理科)(解析版) 题型:填空题

已知两条直线a1x+b1y+1=0和a2x+b2y+1=0都过点A(2,3),则过两点P1(a1,b1),P2(a2,b2)的直线方程为   

查看答案和解析>>

同步练习册答案