½«ÊýÁÐ{an}ÖеÄËùÓÐÏÿһÐбÈÉÏÒ»ÐжàÁ½ÏîµÄ¹æÔòÅųÉÈçÏÂÊý±í£º
ÒÑÖª±íÖеĵÚÒ»ÁÐÊýa1£¬a2£¬a5¡­¹¹³ÉÒ»¸öµÈ²îÊýÁУ¬¼ÇΪ{bn}£¬ÇÒb2=4£¬b5=10¡£±íÖÐÿһÐÐÕýÖмäÒ»¸öÊýa1£¬a3£¬a7¡­¹¹³ÉÊýÁÐ{cn}£¬ÆäǰnÏîºÍΪSn£¬
(1)ÇóÊýÁÐ{bn}µÄͨÏʽ£»
(2)ÈôÉϱíÖУ¬´ÓµÚ¶þÐÐÆð£¬Ã¿Ò»ÐÐÖеÄÊý°´´Ó×óµ½ÓÒµÄ˳Ðò¾ù¹¹³ÉµÈ±ÈÊýÁУ¬¹«±ÈΪͬһ¸öÕýÊý£¬ÇÒa13=1£¬
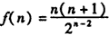
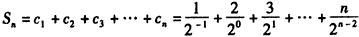
¢ÙÇóSn£»
¢Ú¼ÇM={n|(n+1)cn¡Ý¦Ë£¬n¡ÊN*}£¬Èô¼¯ºÏMµÄÔªËØ¸öÊýΪ3£¬ÇóʵÊý¦ËµÄȡֵ·¶Î§£®
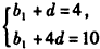
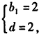
½â£º(1)ÉèÊýÁÐ{bn}µÄ¹«²îΪd£¬Ôò£¬½âµÃ£¬
ËùÒÔ¡£
(2)¢ÙÉèÿһÐÐ×é³ÉµÄµÈ±ÈÊýÁеĹ«±ÈΪq£¬
ÓÉÓÚǰnÐй²ÓÐ1+3+5+¡­+(2n-1)=n2¸öÊý£¬ÇÒ£¬
ËùÒÔ£¬
ËùÒÔ£¬
ÓÖ£¬½âµÃ£¬
Òò´Ë£¬
ËùÒÔ£¬
£¬
Òò´Ë£¬
½âµÃ£»
¢ÚÓÉ¢ÙÖª£¬£¬
²»µÈʽ£¬¿É»¯Îª£¬
É裬
¼ÆËãµÃ£¬
ÒòΪ£¬
ËùÒÔµ±n¡Ý3ʱ£¬f(n+1)£¼f(n)£¬
ÒòΪ¼¯ºÏMµÄÔªËØ¸öÊýΪ3£¬
ËùÒԦ˵Äȡֵ·¶Î§ÊÇ(4£¬5]¡£
Á·Ï°²áϵÁдð°¸
Ïà¹ØÏ°Ìâ

¿ÆÄ¿£º¸ßÖÐÊýѧ À´Ô´£º ÌâÐÍ£º

¾«Ó¢¼Ò½ÌÍø½«ÊýÁÐ{an}ÖеÄËùÓÐÏÿһÐбÈÉÏÒ»ÐжàÒ»ÏîµÄ¹æÔòÅųÉÈçÏÂ±í£º
¼Ç±íÖеĵÚÒ»ÁÐÊýa1£¬a2£¬a4£¬a7£¬¡­£¬¹¹³ÉµÄÊýÁÐΪ{bn}£¬b1=a1=1£¬SnΪÊýÁÐ{bn}µÄǰnÏîºÍ£¬ÇÒÂú×ã
2bn
bnSn-
S
2
n
=1(n¡Ý2)
£®
£¨1£©ÇóÖ¤ÊýÁÐ{
1
Sn
}
³ÉµÈ²îÊýÁУ¬²¢ÇóÊýÁÐ{bn}µÄͨÏʽ£»
£¨2£©ÉϱíÖУ¬Èôa81ÏîËùÔÚÐеÄÊý°´´Ó×óµ½ÓÒµÄ˳Ðò¹¹³ÉµÈ±ÈÊýÁУ¬ÇÒ¹«±ÈqΪÕýÊý£¬Çóµ±a81=-
4
91
ʱ£¬¹«±ÈqµÄÖµ£®

²é¿´´ð°¸ºÍ½âÎö>>

¿ÆÄ¿£º¸ßÖÐÊýѧ À´Ô´£º ÌâÐÍ£º

ÒÑÖªÕûÊýÊýÁÐ{an}Âú×㣺a1=1£¬a2=2£¬ÇÒ2an-1£¼an-1+an+1£¼2an+1£¨n¡ÊN£¬n¡Ý2£©£®
£¨1£©ÇóÊýÁÐ{an}µÄͨÏʽ£»
£¨2£©½«ÊýÁÐ{an}ÖеÄËùÓÐÏîÒÀ´Î°´ÈçͼËùʾµÄ¹æÂÉÑ­»·µØÅųÉÈçÏÂÈý½ÇÐÎÊý±í£º
¾«Ó¢¼Ò½ÌÍø
¡­
ÒÀ´Î¼ÆËã¸÷¸öÈý½ÇÐÎÊý±íÄÚ¸÷ÐÐÖеĸ÷ÊýÖ®ºÍ£¬ÉèÓÉÕâЩºÍ°´Ô­À´ÐеÄǰºó˳Ðò¹¹³ÉµÄÊýÁÐΪ{bn}£¬Çób5+b100µÄÖµ£»
£¨3£©Áîcn=2+ban+b•2an-1£¨bΪ´óÓÚµÈÓÚ3µÄÕýÕûÊý£©£¬ÎÊÊýÁÐ{cn}ÖÐÊÇ·ñ´æÔÚÁ¬ÐøÈýÏî³ÉµÈ±ÈÊýÁУ¿Èô´æÔÚ£¬Çó³öËùÓгɵȱÈÊýÁеÄÁ¬ÐøÈýÏÈô²»´æÔÚ£¬Çë˵Ã÷ÀíÓÉ£®

²é¿´´ð°¸ºÍ½âÎö>>

¿ÆÄ¿£º¸ßÖÐÊýѧ À´Ô´£º ÌâÐÍ£º

½«ÊýÁÐ{an}ÖеÄËùÓÐÏÿһÐбÈÉÏÒ»ÐжàÒ»ÏîµÄ¹æÔòÅųÉÈçÏÂÊý±í£®¼Ç±íÖеÚÒ»ÁÐÊýa1£¬a2£¬a4£¬a7£¬¡­¹¹³ÉµÄÊýÁÐΪ{bn}£¬b1=a1=1£®SnΪÊýÁÐ{bn}µÄǰnÏîºÍ£¬ÇÒÂú×ã2bn=bnSn-Sn2£¨n¡Ý2£¬n¡ÊN*£©£®
£¨1£©Ö¤Ã÷ÊýÁÐ{
1
Sn
}ÊǵȲîÊýÁУ¬²¢ÇóÊýÁÐ{bn}µÄͨÏʽ£»
£¨2£©Í¼ÖУ¬Èô´ÓµÚÈýÐÐÆð£¬Ã¿Ò»ÐÐÖеÄÊý°´´Ó×óµ½ÓÒµÄ˳Ðò¹¹³ÉµÈ±ÈÊýÁУ¬ÇÒ¹«±ÈΪͬһ¸öÕýÊý£®µ±a81=-
4
91
ʱ£¬ÇóÉϱíÖеÚk£¨k¡Ý3£©ÐÐËùÓÐÊýµÄºÍ£®

²é¿´´ð°¸ºÍ½âÎö>>

¿ÆÄ¿£º¸ßÖÐÊýѧ À´Ô´£º ÌâÐÍ£º½â´ðÌâ

½«ÊýÁÐ{an}ÖеÄËùÓÐÏÿһÐбÈÉÏÒ»ÐжàÒ»ÏîµÄ¹æÔòÅųÉÈçÏÂ±í£º
¼Ç±íÖеĵÚÒ»ÁÐÊýa1£¬a2£¬a4£¬a7£¬¡­£¬¹¹³ÉµÄÊýÁÐΪ{bn}£¬b1=a1=1£¬SnΪÊýÁÐ{bn}µÄǰnÏîºÍ£¬ÇÒÂú×ãÊýѧ¹«Ê½£®
£¨1£©ÇóÖ¤ÊýÁÐÊýѧ¹«Ê½³ÉµÈ²îÊýÁУ¬²¢ÇóÊýÁÐ{bn}µÄͨÏʽ£»
£¨2£©ÉϱíÖУ¬Èôa81ÏîËùÔÚÐеÄÊý°´´Ó×óµ½ÓÒµÄ˳Ðò¹¹³ÉµÈ±ÈÊýÁУ¬ÇÒ¹«±ÈqΪÕýÊý£¬Çóµ±Êýѧ¹«Ê½Ê±£¬¹«±ÈqµÄÖµ£®

²é¿´´ð°¸ºÍ½âÎö>>

¿ÆÄ¿£º¸ßÖÐÊýѧ À´Ô´£º2011Äê½­ËÕÊ¡»´°²ÊкéÔóÖÐѧ¸ß¿¼ÊýѧģÄâÊÔ¾í£¨3£©£¨½âÎö°æ£© ÌâÐÍ£º½â´ðÌâ

ÒÑÖªÕûÊýÊýÁÐ{an}Âú×㣺a1=1£¬a2=2£¬ÇÒ2an-1£¼an-1+an+1£¼2an+1£¨n¡ÊN£¬n¡Ý2£©£®
£¨1£©ÇóÊýÁÐ{an}µÄͨÏʽ£»
£¨2£©½«ÊýÁÐ{an}ÖеÄËùÓÐÏîÒÀ´Î°´ÈçͼËùʾµÄ¹æÂÉÑ­»·µØÅųÉÈçÏÂÈý½ÇÐÎÊý±í£º

¡­
ÒÀ´Î¼ÆËã¸÷¸öÈý½ÇÐÎÊý±íÄÚ¸÷ÐÐÖеĸ÷ÊýÖ®ºÍ£¬ÉèÓÉÕâЩºÍ°´Ô­À´ÐеÄǰºó˳Ðò¹¹³ÉµÄÊýÁÐΪ{bn}£¬Çób5+b100µÄÖµ£»
£¨3£©ÁbΪ´óÓÚµÈÓÚ3µÄÕýÕûÊý£©£¬ÎÊÊýÁÐ{cn}ÖÐÊÇ·ñ´æÔÚÁ¬ÐøÈýÏî³ÉµÈ±ÈÊýÁУ¿Èô´æÔÚ£¬Çó³öËùÓгɵȱÈÊýÁеÄÁ¬ÐøÈýÏÈô²»´æÔÚ£¬Çë˵Ã÷ÀíÓÉ£®

²é¿´´ð°¸ºÍ½âÎö>>

ͬ²½Á·Ï°²á´ð°¸