精英家教网 > 高中数学 > 题目详情
已知数列{an}及其前n项和Sn满足:a1=3,Sn=2Sn-1+2n(n≥2,n∈N*).  
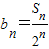
(1)证明:设bn=,{bn}是等差数列; 
(2)求Sn及an
【答案】分析:(1)由已知可得,,即可证明
(2)由(1)可求sn,然后利用n≥2时,an=sn-sn-1可求an
解答:(本题满分14分)
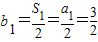
解:(1)∵
(n≥2)…(4分)
则{bn}是公差为1的等差数列        …(6分)
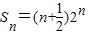
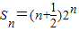
(2)又∵

…(9分)
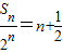
当n≥2时,…(12分)

…(14分)
点评:本题主要考查了利用数列的递推公式构造等差数列求通项公式及数列的递推公式an=sn-sn-1的应用
练习册系列答案
相关习题

科目:高中数学 来源: 题型:

已知数列{an}及其前n项和Sn满足:a1=3,Sn=3Sn-1+3n(n≥2,n∈N*).
(1)证明:设bn=
Sn3n
,{bn}是等差数列; 
(2)求Sn及an
(3)判断数列{an}是否存在最大或最小项,若有则求出来,若没有请说明理由.

查看答案和解析>>

科目:高中数学 来源: 题型:

已知数列{an}及其前n项和Sn满足:a1=3,Sn=2Sn-1+2n(n≥2,n∈N*).  
(1)证明:设bn=
Sn2n
,{bn}是等差数列; 
(2)求Sn及an

查看答案和解析>>

科目:高中数学 来源: 题型:

已知数列{an}满足
a1=1
an=2an-1+1,n≥2
,求{an}的通项公式及其前n项和Sn

查看答案和解析>>

科目:高中数学 来源:不详 题型:解答题

已知数列{an}及其前n项和Sn满足:a1=3,Sn=2Sn-1+2n(n≥2,n∈N*).  
(1)证明:设bn=
Sn
2n
,{bn}是等差数列; 
(2)求Sn及an

查看答案和解析>>

同步练习册答案