精英家教网 > 高中数学 > 题目详情

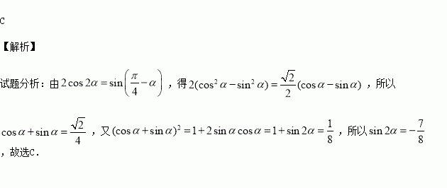
,且,则的值为( )

A.1 B. C. D.

练习册系列答案
相关习题

科目:高中数学 来源:2015-2016学年湖南常德石门一中高一下第一次月考数学卷(解析版) 题型:选择题

若下列程序执行的结果是,

则输入的值是( )

A. B. C. D.

查看答案和解析>>

科目:高中数学 来源:2015-2016学年安徽省高二下期中文科数学试卷(解析版) 题型:选择题

的三边长分别为的面积为,内切圆半径为,则,类比这个结论可知:四面体的四个面的面积分别为,内切球半径为,四面体的体积为,则等于( )

A. B.

C. D.

查看答案和解析>>

科目:高中数学 来源:2016届福建省高三最后一卷文科数学试卷(解析版) 题型:解答题

如图,在中,,点边上,且

(I)求

(II)求的长.

查看答案和解析>>

科目:高中数学 来源:2016届福建省高三最后一卷文科数学试卷(解析版) 题型:选择题

,若直线与圆相切,则的取值范围是( )

A. B.

C. D.

查看答案和解析>>

科目:高中数学 来源:2016届福建省高三最后一卷理科数学试卷(解析版) 题型:解答题

已知函数

(1)当时,求不等式的解集;

(2)若函数的最小值为5,求的值.

查看答案和解析>>

科目:高中数学 来源:2016届福建省高三最后一卷理科数学试卷(解析版) 题型:解答题

已知为单调递增的等差数列,,设数列满足

(I)求数列的通项;

(II)求数列的前项和

查看答案和解析>>

科目:高中数学 来源:2015-2016学年河北省高二下期中文科数学试卷(解析版) 题型:解答题

已知函数

(Ⅰ)若函数在区间为(0,1)上单调递减,求的取值范围;

(Ⅱ)若取(I)中的最小值,且,求证:.

查看答案和解析>>

科目:高中数学 来源:2015-2016学年河北省高二下期中理科数学试卷(解析版) 题型:选择题

化简所得结果为( )

A. B. C. D.

查看答案和解析>>

同步练习册答案