精英家教网 > 高中数学 > 题目详情
已知函数f(x)满足f(logax)=,(其中a>0且a≠1)
(1)求f(x)的解析式及其定义域;
(2)在函数y=f(x)的图象上是否存在两个不同的点,使过两点的直线与x轴平行,如果存在,求出两点;如果不存在,说明理由.
解:(1)设t=logax,则x=at,t∈R
∴f(t)===
,定义域为R
(2)不存在,理由如下:
设x1,x2∈R且x1<x2

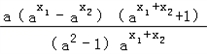
                                      =
+1>0,>0,而不论a>1 还是0<a<1 与a2﹣1同号
∴f(x1)﹣f(x2)<0,即f(x1)<f(x2
∴f(x)在R上是增函数.y=f(x)的图象上不存在两个不同的点,使过两点的直线与x轴平行.
练习册系列答案
相关习题

科目:高中数学 来源: 题型:

已知函数f(x)满足f(x+y)=f(x)f(y),(x,y∈R)且f(1)=
1
2

(1)若n∈N*时,求f(n)的表达式;
(2)设bn=
nf(n+1)
f(n)
  (n∈N*)
,sn=b1+b2+…+bn,求
1
s1
+
1
s2
+…+
1
sn

查看答案和解析>>

科目:高中数学 来源: 题型:

已知函数f(x) 满足f(x+4)=x3+2,则f-1(1)等于(  )

查看答案和解析>>

科目:高中数学 来源: 题型:

已知函数f(x)满足f(x)+f'(0)-e-x=-1,函数g(x)=-λlnf(x)+sinx是区间[-1,1]上的减函数.
(1)当x≥0时,曲线y=f(x)在点M(t,f(t))的切线与x轴、y轴围成的三角形面积为S(t),求S(t)的最大值;
(2)若g(x)<t2+λt+1在x∈[-1,1]时恒成立,求t的取值范围;
(3)设函数h(x)=-lnf(x)-ln(x+m),常数m∈Z,且m>1,试判定函数h(x)在区间[e-m-m,e2m-m]内的零点个数,并作出证明.

查看答案和解析>>

科目:高中数学 来源: 题型:

已知函数f(x)满足:f(p+q)=f(p)f(q),f(1)=3,则
f2(1)+f(2)
f(1)
+
f2(2)+f(4)
f(3)
+
f2(3)+f(6)
f(5)
+
f2(4)+f(8)
f(7)
=
24.
24.

查看答案和解析>>

科目:高中数学 来源: 题型:

(2012•珠海二模)已知函数f(x)满足:当x≥1时,f(x)=f(x-1);当x<1时,f(x)=2x,则f(log27)=(  )

查看答案和解析>>

同步练习册答案