精英家教网 > 高中数学 > 题目详情

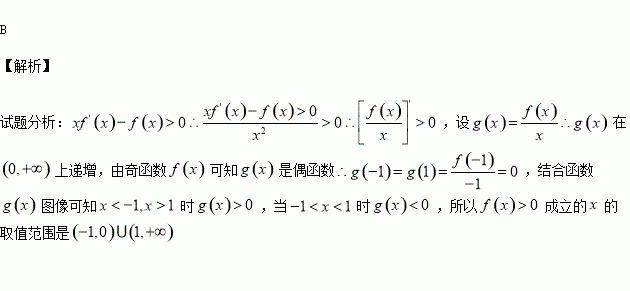
已知是奇函数的导函数,,当时,,则使得成立的的取值范围是( )

A. B.

C. D.

练习册系列答案
相关习题

科目:高中数学 来源:2015-2016学年广东省东莞市南开实验高二下期初考试文科数学试卷(解析版) 题型:填空题

回归直线方程为,则时,y的估计值为_________ __

查看答案和解析>>

科目:高中数学 来源:2015-2016学年山东省高二下学期第一次月考理科数学试卷(解析版) 题型:解答题

(1)依次计算

(2)猜想的结果,并用数学归纳法证明论.

查看答案和解析>>

科目:高中数学 来源:2015-2016学年广东省东莞市南开实验高二下期初考试理科数学试卷(解析版) 题型:解答题

已知函数

(1)若函数在[,3]上有三个零点,求实数m的取值范围;

(2)设函数(e为自然对数的底数),如果对任意的,都有恒成立,求实数n的取值范围.

查看答案和解析>>

科目:高中数学 来源:2015-2016学年广东省东莞市南开实验高二下期初考试理科数学试卷(解析版) 题型:填空题

已知函数,则上的值域为

查看答案和解析>>

科目:高中数学 来源:2015-2016学年广东省东莞市南开实验高二下期初考试理科数学试卷(解析版) 题型:选择题

,则等于( )

A.-1 B.0 C.1 D.2

查看答案和解析>>

科目:高中数学 来源:2015-2016学年江西省宜春市高二下第一次月考文科数学试卷(解析版) 题型:解答题

已知椭圆C:的离心率为,F1,F2是椭圆的两个焦点,P是椭圆上任意一点,且△PF1F2的周长是8+2

(1)求椭圆C的方程;

(2)设圆T:(x﹣t)2+y2=,过椭圆的上顶点作圆T的两条切线交椭圆于E、F两点,当圆心在x轴上移动且t∈(1,3)时,求EF的斜率的取值范围.

查看答案和解析>>

科目:高中数学 来源:2015-2016学年江西省宜春市高二下第一次月考文科数学试卷(解析版) 题型:选择题

“mn<0”是“方程mx2+ny2=1表示焦点在y轴上的双曲线”的( )

A.充分而不必要条件 B.必要而不充分条件

C.充分必要条件 D.既不充分也不必要条件

查看答案和解析>>

科目:高中数学 来源:2015-2016学年江西省高二下学期第一次月考文科数学试卷(解析版) 题型:选择题

执行如右图所示的程序框图,输出的s值为( )

A.—3 B.— C. D.2

查看答案和解析>>

同步练习册答案