精英家教网 > 高中数学 > 题目详情
已知a>0,b>0,抛物线f(x)=4ax2+2bx-3在x=1处的切线的倾斜角为,则的最小值是   
【答案】分析:求导函数,确定切线的斜率,利用抛物线f(x)=4ax2+2bx-3在x=1处的切线的倾斜角为,确定8a+2b=1,再利用“1”的代换,利用基本不等式,即可求得最小值.
解答:解:求导函数,可得f′(x)=8ax+2b,
∴x=1时,f′(1)=8a+2b,
∵抛物线f(x)=4ax2+2bx-3在x=1处的切线的倾斜角为
∴8a+2b=1
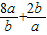
==10+
∵a>0,b>0
=8(当且仅当a=,b=时,取等号)
的最小值是18
故答案为:18.
点评:本题考查导数的几何意义,考查基本不等式的运用,考查学生的计算能力,属于中档题.
练习册系列答案
相关习题

科目:高中数学 来源: 题型:

已知a>0,b>0,且ab=1,α=a+
4
a
,β=b+
4
b
,则α+β的最小值为(  )

查看答案和解析>>

科目:高中数学 来源: 题型:

(1)在平面直角坐标系xOy中,判断曲线C:
x=2cosθ
y=sinθ
(θ为参数)与直线l:
x=1+2t
y=1-t
(t为参数)是否有公共点,并证明你的结论.
(2)已知a>0,b>0,a+b=1,求证:
1
2a+1
+
4
2b+1
9
4

查看答案和解析>>

科目:高中数学 来源: 题型:

(2013•松江区二模)已知双曲线C的中心在原点,D(1,0)是它的一个顶点,
d
=(1,
2
)
是它的一条渐近线的一个方向向量.
(1)求双曲线C的方程;
(2)若过点(-3,0)任意作一条直线与双曲线C交于A,B两点 (A,B都不同于点D),求证:
DA
DB
为定值;
(3)对于双曲线Γ:
x2
a2
-
y2
b2
=1(a>0,b>0,a≠b)
,E为它的右顶点,M,N为双曲线Γ上的两点(都不同于点E),且EM⊥EN,那么直线MN是否过定点?若是,请求出此定点的坐标;若不是,说明理由.然后在以下三个情形中选择一个,写出类似结论(不要求书写求解或证明过程).
情形一:双曲线
x2
a2
-
y2
b2
=1(a>0,b>0,a≠b)
及它的左顶点;
情形二:抛物线y2=2px(p>0)及它的顶点;
情形三:椭圆
x2
a2
+
y2
b2
=1(a>b>0)
及它的顶点.

查看答案和解析>>

科目:高中数学 来源: 题型:

已知a>0,b>0,a+b=1,则a+
1
a
+b+
1
b
的最小值为
5
5

查看答案和解析>>

科目:高中数学 来源:松江区二模 题型:解答题

已知双曲线C的中心在原点,D(1,0)是它的一个顶点,
d
=(1,
2
)
是它的一条渐近线的一个方向向量.
(1)求双曲线C的方程;
(2)若过点(-3,0)任意作一条直线与双曲线C交于A,B两点 (A,B都不同于点D),求证:
DA
DB
为定值;
(3)对于双曲线Γ:
x2
a2
-
y2
b2
=1(a>0,b>0,a≠b)
,E为它的右顶点,M,N为双曲线Γ上的两点(都不同于点E),且EM⊥EN,那么直线MN是否过定点?若是,请求出此定点的坐标;若不是,说明理由.然后在以下三个情形中选择一个,写出类似结论(不要求书写求解或证明过程).
情形一:双曲线
x2
a2
-
y2
b2
=1(a>0,b>0,a≠b)
及它的左顶点;
情形二:抛物线y2=2px(p>0)及它的顶点;
情形三:椭圆
x2
a2
+
y2
b2
=1(a>b>0)
及它的顶点.

查看答案和解析>>

同步练习册答案