精英家教网 > 高中数学 > 题目详情

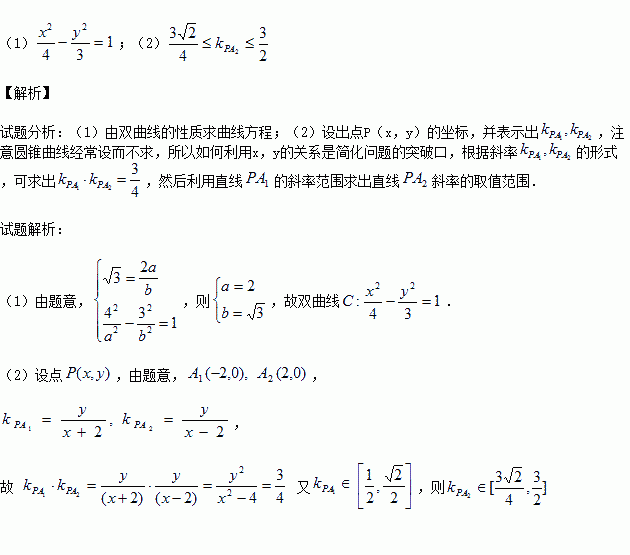
(本小题满分12分)已知双曲线,若双曲线的渐近线过点,且双曲线过点

(1) 求双曲线的方程;

(2)若双曲线的左、右顶点分别为,点上且直线的斜率的取值范围是,求直线斜率的取值范围.

练习册系列答案
相关习题

科目:高中数学 来源:2015-2016年湖南湘潭、岳阳一中高一上联考数学试卷(解析版) 题型:填空题

已知函数f(x)是定义在R上的奇函数,当时,,则当时函数的解析式为

查看答案和解析>>

科目:高中数学 来源:2016届四川省巴中市普通高中高三10月零诊考试理科数学试卷(解析版) 题型:选择题

如图所示,程序框图(算法流程图)的输出结果是( )

A.34 B.55 C.78 D.89

查看答案和解析>>

科目:高中数学 来源:2015-2016年重庆巴蜀中学高一上学期10月月考数学试卷(解析版) 题型:选择题

已知集合A={4,5,7,9},B={3,4,7,8,9},全集U=A∪B,则集合CU(A∩B)=( )

A、 B、 C、 D、

查看答案和解析>>

科目:高中数学 来源:2015-2016学年山西太原五中高二上第一次月考数学试卷(解析版) 题型:解答题

(本小题满分10分)如图,四棱锥中,⊥平面,分别为线段的中点.

(1)求证:平面

(2)求证:⊥平面

查看答案和解析>>

科目:高中数学 来源:2015-2016学年湖北武汉二中高二上学期期中理科数学试卷(解析版) 题型:解答题

(本小题满分12分)已知圆,过圆上一点A(3,2)的动直线与圆相交于另一个不同的点B.

(1)求线段AB的中点P的轨迹M的方程;

(2)若直线与曲线M只有一个交点,求的值.

查看答案和解析>>

科目:高中数学 来源:2015-2016学年湖北荆州中学高一上学期期中文科数学试卷(解析版) 题型:填空题

若函数的定义域为值域为则实数的取值范围是

查看答案和解析>>

科目:高中数学 来源:2015-2016学年湖北荆州中学高二上学期期中理科数学试卷(解析版) 题型:选择题

若直线与曲线有两个不同的交点,则实数的取值范围是( )

A . B. C. D.

查看答案和解析>>

科目:高中数学 来源:2015-2016学年江苏省高二上学期第一次学情调研数学试卷(解析版) 题型:填空题

在△ABC中,已知a=3,b=4,sinB=,则sinA=     

查看答案和解析>>

同步练习册答案