精英家教网 > 高中数学 > 题目详情
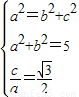
已知椭圆C:,的离心率为,A、B分别为椭圆的长轴和短轴的端点,M为AB的中点,O为坐标原点,且
(I)求椭圆的方程;
(II)过(-1,0)的直线l与椭圆交于P、Q两点,求△POQ的面积的最大时直线l的方程.
【答案】分析:(Ⅰ)根据离心率为,建立方程组,求得椭圆的基本量,从而可得椭圆的方程;
(Ⅱ)方法一:设交点P(x1,y1),Q(x2,y2),分类讨论,将直线方程与椭圆方程联立,消去y,表示出△POQ的面积,利用基本不等式求得结论.
方法二:设交点P(x1,y1),Q(x2,y2),分类讨论,将直线方程与椭圆方程联立,消去x,表示出△POQ的面积,利用基本不等式求得结论.
解答:解:(Ⅰ)设椭圆的半焦距为c,则,解得
所以椭圆的方程为.…(4分)
(Ⅱ)方法一:设交点P(x1,y1),Q(x2,y2),
当直线l的斜率不存在时,直线l的方程为x=-1,则…(6分)
当直线l的斜率存在时,设其方程为y=k(x+1)(k≠0),联立椭圆方程
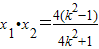
得(4k2+1)x2+8k2x+4(k2-1)=0,两个根为x1,x2…(7分)
(k≠0),
又原点到直线l的距离d=,…(8分)
所以(k≠0)
=…(11分)
所以,当直线l的方程为x=-1时,△POQ面积最大.…(12分)
方法二:设交点P(x1,y1),Q(x2,y2),
当直线l的斜率不存在时,直线l的方程为x=-1,则.…(6分)
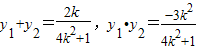
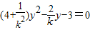
当直线l的斜率存在时,设其方程为y=k(x+1)(k≠0),联立椭圆方程,得,两个根为y1,y2,△>0恒成立,,…(7分)…(8分)

=…(11分)
所以,当直线l的方程为x=-1时,△POQ面积最大.…(12分)
点评:本题考查椭圆的标准方程,考查直线与椭圆的位置关系,考查三角形面积的计算,正确表示三角形的面积是关键.
练习册系列答案
相关习题

科目:高中数学 来源: 题型:

(2012•淮南二模)已知椭圆C:
x2
a2
+
y2
b2
=1,(a>b>0)与双曲4x2-
4
3
y2=1有相同的焦点,且椭C的离心e=
1
2
,又A,B为椭圆的左右顶点,M为椭圆上任一点(异于A,B).
(1)求椭圆的方程;
(2)若直MA交直x=4于点P,过P作直线MB的垂线x轴于点Q,Q的坐标;
(3)求点P在直线MB上射R的轨迹方程.

查看答案和解析>>

科目:高中数学 来源: 题型:解答题

已知椭圆C:数学公式+数学公式=1,(a>b>0)与双曲4x2-数学公式y2=1有相同的焦点,且椭C的离心e=数学公式,又A,B为椭圆的左右顶点,M为椭圆上任一点(异于A,B).
(1)求椭圆的方程;
(2)若直MA交直x=4于点P,过P作直线MB的垂线x轴于点Q,Q的坐标;
(3)求点P在直线MB上射R的轨迹方程.

查看答案和解析>>

科目:高中数学 来源:2012年安徽省淮北市高考数学二模试卷(文科)(解析版) 题型:解答题

已知椭圆C:+=1,(a>b>0)与双曲4x2-y2=1有相同的焦点,且椭C的离心e=,又A,B为椭圆的左右顶点,M为椭圆上任一点(异于A,B).
(1)求椭圆的方程;
(2)若直MA交直x=4于点P,过P作直线MB的垂线x轴于点Q,Q的坐标;
(3)求点P在直线MB上射R的轨迹方程.

查看答案和解析>>

科目:高中数学 来源:2012年安徽省淮南市高考数学二模试卷(理科)(解析版) 题型:解答题

已知椭圆C:+=1,(a>b>0)与双曲4x2-y2=1有相同的焦点,且椭C的离心e=,又A,B为椭圆的左右顶点,M为椭圆上任一点(异于A,B).
(1)求椭圆的方程;
(2)若直MA交直x=4于点P,过P作直线MB的垂线x轴于点Q,Q的坐标;
(3)求点P在直线MB上射R的轨迹方程.

查看答案和解析>>

科目:高中数学 来源:2012年安徽省淮北市高考数学二模试卷(理科)(解析版) 题型:解答题

已知椭圆C:+=1,(a>b>0)与双曲4x2-y2=1有相同的焦点,且椭C的离心e=,又A,B为椭圆的左右顶点,M为椭圆上任一点(异于A,B).
(1)求椭圆的方程;
(2)若直MA交直x=4于点P,过P作直线MB的垂线x轴于点Q,Q的坐标;
(3)求点P在直线MB上射R的轨迹方程.

查看答案和解析>>

同步练习册答案