精英家教网 > 高中数学 > 题目详情

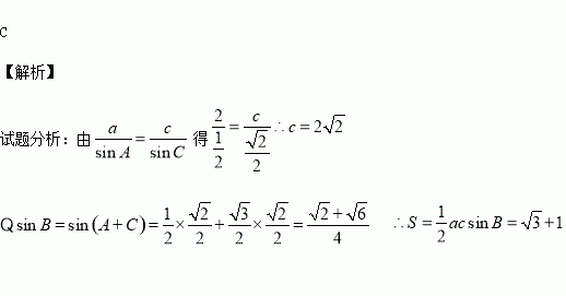
中,已知,则的面积等于( )

A. B. C.+1 D.

练习册系列答案
相关习题

科目:高中数学 来源:2015-2016学年重庆市高一上学期期中数学试卷(解析版) 题型:选择题

对于任意,函数的值非负,则实数的最小值为( )

A、 B、-5 C、-3 D、-2

查看答案和解析>>

科目:高中数学 来源:2015-2016学年河北省高一上学期期中数学试卷(解析版) 题型:选择题

函数的定义域为( )

A. B. C. D.

查看答案和解析>>

科目:高中数学 来源:2015-2016学年江苏省高邮市高一上学期期中调研数学试卷(解析版) 题型:填空题

几位同学在研究函数时,给出了下面几个结论:

①函数的值域为

②若,则一定有

是增函数;

④若规定,则对任意恒成立.

上述结论中正确的个数有________个.

查看答案和解析>>

科目:高中数学 来源:2015-2016学年吉林省扶余市高一上学期期中考试数学试卷(解析版) 题型:选择题

设函数,则的值为

A. B. C. D.

查看答案和解析>>

科目:高中数学 来源:2015-2016学年河南省英文学校高二上学期期中考试数学试卷(解析版) 题型:填空题

如图,在山腰测得山顶仰角∠CAB=45°,沿倾斜角为30°的斜坡走1 000米至S点,又测得山顶仰角∠DSB=75°,则山高BC为_______米.

A.1000 B.500 C.800 D.1200

查看答案和解析>>

科目:高中数学 来源:2016届四川省成都市高三11月段测三文科数学试卷(解析版) 题型:选择题

命题“∈N,x02 +2xo≥3”的否定为( )

A.∈N,x02 +2x0 ≤3

B.∈N ,x2 +2x≤3

C.∈N,x02 +2x0<3

D.∈N ,x2 +2x<3

查看答案和解析>>

科目:高中数学 来源:2016届江西省高三上学期第三次考试理科数学试卷(解析版) 题型:选择题

已知条件p:;条件q:,若p是q的充分不必要条件,则m的取值范围是( )

A.[21,+∞) B.[9,+∞) C.[19,+∞) D.(0,+∞)

查看答案和解析>>

科目:高中数学 来源:2015-2016学年陕西省西安市高二上学期期中考试理科数学试卷(解析版) 题型:选择题

为非零实数,且,则下列不等式成立的是( )

A. B. C. D.

查看答案和解析>>

同步练习册答案