精英家教网 > 高中数学 > 题目详情
非零向量满足||=||=||,则的夹角为    
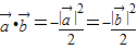
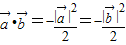
【答案】分析:要求的夹角,只需将||=||=||平方得:,即,cos<>==,在根据解三角方程知识即可.
解答:解:∵||=||=||
∴将||=||=||平方得:

∵cos<>=
∴cos<>=
∵<>∈[0,π]
的夹角为120°
故答案为120°.
点评:本题主要考查了数量积表示两个向量的夹角,解三角方程的知识,属于基础题.
练习册系列答案
相关习题

科目:高中数学 来源: 题型:

两个非零向量满足|
a
+
b
|=|
a
-
b
|
,则
a
b
的关系是(  )

查看答案和解析>>

科目:高中数学 来源: 题型:

(湖北省八校高第二次联考) 已知A,B是抛物线上的两个动点,为坐标原点,非零向量满足

(Ⅰ)求证:直线经过一定点;

(Ⅱ)当的中点到直线的距离的最小值为时,求的值.

查看答案和解析>>

科目:高中数学 来源:2012-2013学年福建省高三第一次阶段考试文科数学试卷(解析版) 题型:选择题

已知非零向量满足,且关于x的函数为R上增函数,则夹角的取值范围是(   )

A、      B、

C、     D、

 

查看答案和解析>>

科目:高中数学 来源:2011-2012学年福建省四地六校高三期中联考文科数学试卷 题型:填空题

在平面上给定非零向量满足的夹角为,则的值为            

 

查看答案和解析>>

科目:高中数学 来源:2010-2011学年本溪县高三暑期补课阶段考试数学卷 题型:选择题

已知非零向量满足 ,若函数 在R 上存在极值,则夹角的取值范围为(      )

        B        C         D 

 

查看答案和解析>>

同步练习册答案