精英家教网 > 高中数学 > 题目详情
过抛物线y2=2px(p>0)的焦点F且倾斜角为60°的直线l与抛物线在第一、四象限分别交于A、B两点,则的值等于( )
A.5
B.4
C.3
D.2
【答案】分析:设出A、B坐标,利用焦半径公式求出|AB|,结合,求出A、B的坐标,然后求其比值.
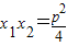
解答:解:设A(x1,y1),B(x2,y2),

,可得

故选C.
点评:本题考查直线的倾斜角,抛物线的简单性质,考查学生分析问题解决问题的能力,是基础题.
练习册系列答案
相关习题

科目:高中数学 来源: 题型:

过抛物线y2=2px(p>0)的焦点F的直线l与抛物线在第一象限的交点为A,与抛物线的准线的交点为B,点A在抛物线准线上的射影为C,若
AF
=
FB
BA
BC
=48
,则抛物线的方程为(  )
A、y2=4x
B、y2=8x
C、y2=16x
D、y2=4
2
x

查看答案和解析>>

科目:高中数学 来源: 题型:

过抛物线y2=2px(p>0)上一定点P(x0,y0)(y0>0)作两条直线分别交抛物线于A(x1,y1),B(x2,y2),若PA与PB的斜率存在且倾斜角互补,则
y1+y2y0
=
 

查看答案和解析>>

科目:高中数学 来源: 题型:

过抛物线y2=2px(p>0)的焦点F作直线交抛物线于A、B两点,O为抛物线的顶点.则△ABO是一个(  )
A、等边三角形B、直角三角形C、不等边锐角三角形D、钝角三角形

查看答案和解析>>

科目:高中数学 来源: 题型:

过抛物线y2=2px(p>0)的焦点F的直线AB交抛物线于A,B两点,弦AB的中点为M,过M作AB的垂直平分线交x轴于N.
(1)求证:FN=
12
AB

(2)过A,B的抛物线的切线相交于P,求P的轨迹方程.

查看答案和解析>>

科目:高中数学 来源: 题型:

(2010•武汉模拟)已知过抛物线y2=2px(p>0)的焦点F的直线交抛物线于M、N两点,直线OM、ON(O为坐标原点)分别与准线l:x=-
p
2
相交于P、Q两点,则∠PFQ=(  )

查看答案和解析>>

同步练习册答案