精英家教网 > 高中数学 > 题目详情
如图,△PAD为等边三角形,ABCD为矩形,平面PAD⊥平面ABCD,AB=2,E、F、G分别为PA、BC、PD中点,
(1)求证:AG⊥EF
(2)求多面体P-AGF的体积.
解:(1)(图1)连接GE、GC
∵△PAD是等边三角形,G为PD边中点,
∴AG⊥PD
∵ABCD为矩形,
∴CD⊥AD,
∵平面PAD⊥平面ABCD,平面PAD∩平面ABCD=AD,
∴CD⊥平面PAD
∵AG平面PAD,
∴CD⊥AG,
∵CD、PD是平面PCD内的相交直线,
∴AG⊥平面PCD,
∵CG平面PCD,
∴AG⊥CG
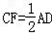
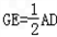
∵△PAD中,E、G分别为PA、PD中点,
∴GE∥AD且
又∵矩形ABCD中,F为BC中点,
∴CF∥AD且
∴CF∥GE且CF=GE,可得四边形CFEG是平行四边形,CG∥EF
∴AG⊥EF
(2)由(1)得CD⊥平面PAD,
∵BC∥AD,AD平面PAD,BC平面PAD,
∴BC∥平面PAD,
因此,点F到平面PAD的距离等于CD
∴三棱锥F﹣PAG的体积为:V=
所以多面体P﹣AGF的体积等于V三棱锥F﹣PAG=
练习册系列答案
相关习题

科目:高中数学 来源: 题型:

(2012•烟台二模)如图,△PAD为等边三角形,ABCD为矩形,平面PAD⊥平面ABCD,AB=2,E、F、G分别为PA、BC、PD中点,AD=2
2

(Ⅰ)求证:AG⊥EF
(Ⅱ)求多面体P-AGF的体积.

查看答案和解析>>

科目:高中数学 来源: 题型:

如图,△PAD为等边三角形,ABCD为矩形,平面PAD⊥平面ABCD,AB=2,E、F、G分别为PA、BC、PD中点,AD=2
2

(Ⅰ)求证:EF∥平面PCD.
(Ⅱ)求证:AG⊥EF
(Ⅲ)求多面体P-AGF的体积.

查看答案和解析>>

科目:高中数学 来源: 题型:

如图,△PAD为等边三角形,ABCD为矩形,平面PAD⊥平面ABCD,AB=2,E、F、G分别为PA、BC、PD中点,PC与底面ABCD成450角.
(Ⅰ)求证:AG⊥EF
(Ⅱ)求二面角P-DF-A的正切.

查看答案和解析>>

科目:高中数学 来源: 题型:

如图,△PAD为等边三角形,ABCD为矩形,平面PAD平面ABCD,AB=2,E、F、G分别为PA、BC、PD中点,AD=2
2

(Ⅰ)求证:AB⊥平面PAD
(Ⅱ)求多面体P-AGF的体积.

查看答案和解析>>

科目:高中数学 来源:2012-2013学年黑龙江省绥化九中高三(上)第一次月考数学试卷(文科)(解析版) 题型:解答题

如图,△PAD为等边三角形,ABCD为矩形,平面PAD⊥平面ABCD,AB=2,E、F、G分别为PA、BC、PD中点,AD=2
(Ⅰ)求证:EF∥平面PCD.
(Ⅱ)求证:AG⊥EF
(Ⅲ)求多面体P-AGF的体积.

查看答案和解析>>

同步练习册答案