精英家教网 > 高中数学 > 题目详情
已知:向量.设
①求f(x)的最小正周期.
②求f(x)的最大值以及对应的x的取值集合.
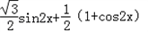
解:①∵,f(x)=
∴f(x)=sinxcosx+cos2x
=
=sin(2x+)+
∴T==π.
②当2x+=2kπ+,k∈Z,
即x=kπ+,k∈Z,f(x)取到最大值,

此时x的取值集合为:{x|x=kπ+,k∈Z}.
练习册系列答案
相关习题

科目:高中数学 来源: 题型:

已知平面向量

(Ⅰ)求

(Ⅱ)设(其中),若

试求函数关系式,并解不等式

查看答案和解析>>

科目:高中数学 来源: 题型:解答题

已知:向量数学公式,设f(x)=(数学公式数学公式-1.
(1)求f(x)的表达式;
(2)求函数f(x)的图象与其对称轴的交点的坐标.

查看答案和解析>>

科目:高中数学 来源:2011-2012学年河北省保定市高三(上)摸底数学试卷(文科)(解析版) 题型:解答题

已知:向量,设f(x)=(-1.
(1)求f(x)的表达式;
(2)求函数f(x)的图象与其对称轴的交点的坐标.

查看答案和解析>>

科目:高中数学 来源:2011-2012学年河北省保定市高三(上)摸底数学试卷(理科)(解析版) 题型:解答题

已知:向量,设f(x)=(-1.
(1)求f(x)的表达式;
(2)求函数f(x)的图象与其对称轴的交点的坐标.

查看答案和解析>>

同步练习册答案