精英家教网 > 高中数学 > 题目详情

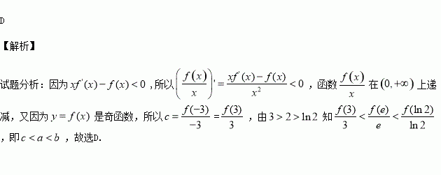
已知定义域为的奇函数的导函数为,当时,,若,则的大小关系正确的是( )

A. B. C. D.

练习册系列答案
相关习题

科目:高中数学 来源:2015-2016学年内蒙古赤峰二中高二上第二次月考文数学卷(解析版) 题型:选择题

上的奇函数,当时,,且,则不等式的解集是( )

A. B.

C. D.

查看答案和解析>>

科目:高中数学 来源:2016届海南省高三高考模拟三理科数学试卷(解析版) 题型:解答题

已知各项均为正数的数列的前项和为,且.

(1)求

(2)设,求数列的前项和.

查看答案和解析>>

科目:高中数学 来源:2016届海南省高三高考模拟三文科数学试卷(解析版) 题型:解答题

.

(1)解不等式

(2)若不等式恒成立,求的取值范围.

查看答案和解析>>

科目:高中数学 来源:2016届海南省高三高考模拟三文科数学试卷(解析版) 题型:解答题

中,角所对的边分别为,已知.

(1)求的大小;

(2)若,且的面积为,求的值.

查看答案和解析>>

科目:高中数学 来源:2016届海南省高三高考模拟三文科数学试卷(解析版) 题型:选择题

如图,网格纸上小正方形的边长为1,粗线画出的是某个几何的三视图,则该几何体的体积为( )

A. B. C. D.

查看答案和解析>>

科目:高中数学 来源:2016届黑龙江省高三下四模理科数学试卷(解析版) 题型:解答题

设函数.

(1)当时,解不等式

(2)当时,若存在,使得不等式成立,求实数的取值范围.

查看答案和解析>>

科目:高中数学 来源:2016届黑龙江省高三下四模理科数学试卷(解析版) 题型:选择题

一个几何体的三视图如图所示,且其侧视图是一个等边三角形,则这个几何体的体积为( )

A. B. C. D.

查看答案和解析>>

科目:高中数学 来源:2016届山东省高三最后一模文科数学试卷(解析版) 题型:选择题

执行如图所示的程序框图,若输入,则输出的是( )

A.18 B.50 C.78 D.306

查看答案和解析>>

同步练习册答案