精英家教网 > 高中数学 > 题目详情

选修4-5:不等式选讲

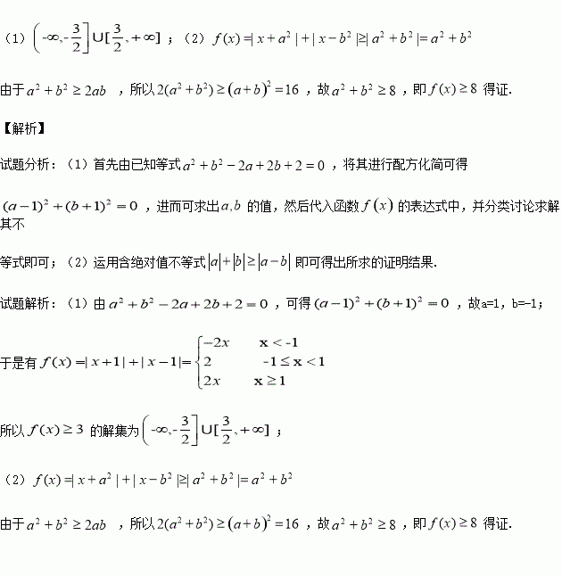
设函数,其中为实数.

(1)若,解关于的不等式

(2)若,证明:

练习册系列答案
相关习题

科目:高中数学 来源:2016届黑龙江省高三12月月考文科数学试卷(解析版) 题型:解答题

设函数

(Ⅰ)求函数的单调区间;

(Ⅱ)设是否存在极值,若存在,请求出极值;若不存在,请说明理由;

(Ⅲ)当时,证明:

查看答案和解析>>

科目:高中数学 来源:2016届江西省新余市高三第四次模拟文科数学试卷(解析版) 题型:解答题

设函数

(1)当时,求函数的最小值

(2)若对任意实数恒成立,求实数的取值范围

查看答案和解析>>

科目:高中数学 来源:2016届江西省新余市高三第四次模拟考理科数学试卷(解析版) 题型:选择题

下列说法错误的是

A.命题“若”的逆命题是“

B.已知命题,若为假命题,则命题中必一真一假

C.若则“”是“”的充要条件

D.若命题

查看答案和解析>>

科目:高中数学 来源:2016届江苏省高三上学期期中考试数学试卷(解析版) 题型:填空题

设函数是定义在R上的偶函数,且在区间上单调递增,则满足不等式取值范围是________.

查看答案和解析>>

科目:高中数学 来源:2016届湖南省高三上第三次月考理数学试卷(解析版) 题型:填空题

已知函数,若函数有6个不同的零点,则实数的取值范围是

查看答案和解析>>

科目:高中数学 来源:2016届黑龙江省哈尔滨市高三12月月考文科数学试卷(解析版) 题型:解答题

已知函数的图像在点处的切线为

(1)求函数的解析式;

(2)当时,求证:

(3)若对任意的恒成立,求实数的取值范围;

查看答案和解析>>

科目:高中数学 来源:2016届黑龙江省高三12月月考理科数学试卷(解析版) 题型:选择题

用数学归纳法证明不等式“(n>2)”过程中,由时,不等式的左边( )

A.增加了一项

B.增加了两项

C.增加了两项,又减少了一项

D.增加了一项,又减少了一项

查看答案和解析>>

科目:高中数学 来源:2015-2016学年浙江省温州市高一上学期期中考试数学试卷(解析版) 题型:选择题

,则的大小关系是( )

A. B. C. D.

查看答案和解析>>

同步练习册答案