精英家教网 > 高中数学 > 题目详情
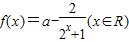
若函数是奇函数,则为__________。

   解析:

               

练习册系列答案
相关习题

科目:高中数学 来源:2015届云南省昆明市高一9 月月考 数学试卷(解析版) 题型:填空题

若函数是奇函数,则实数的值为____________.

 

查看答案和解析>>

科目:高中数学 来源:2011-2012学年浙江省高三第一学期八校联考理科数学 题型:填空题

若函数是奇函数,则实数的值为       

 

查看答案和解析>>

科目:高中数学 来源:2011-2012学年湖南省衡阳八中高一(上)期中数学试卷(解析版) 题型:填空题

若函数 是奇函数,则实数a 的值为   

查看答案和解析>>

科目:高中数学 来源: 题型:

若函数是奇函数,则为__________。

查看答案和解析>>

同步练习册答案