精英家教网 > 高中数学 > 题目详情
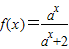
已知函数y=ax(a>0且a≠1)在[1,2]上的最大值与最小值之和为20,记
(1)求a的值;
(2)证明f(x)+f(1-x)=1;
(3)求的值.
【答案】分析:(1)因为函数y=ax(a>0且a≠1)在[1,2]上单调递增或单调递减,所以最大值和最小值一定取到端点处,列方程即可解得a值;(2)利用指数运算性质,代入函数解析式即可化简证明;(3)注意到和式中的自变量的特点,利用(2)的结论,将所求分组求和即可
解答:解:(1)函数y=ax(a>0且a≠1)在[1,2]上的最大值与最小值之和为20,
而函数y=ax(a>0且a≠1)在[1,2]上单调递增或单调递减
∴a+a2=20,得a=4,或a=-5(舍去)
∴a=4
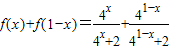
(2)证明:

==
==1
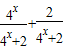
(3)由(2)知,=1,,…

=…+
=1+1+1+…+1=1005
点评:本题考查了指数函数的单调性及其应用,利用指数运算性质化简求值,倒序相加的求和思想
练习册系列答案
相关习题

科目:高中数学 来源: 题型:

已知函数y=ax(a>0,且a≠1)和y=lg(ax2-x+a).则p:关于x的不等式ax>1的解集是(-∞,0);q:函数y=lg(ax2-x+a)的定义域为R.如果p和q有且只有一个正确,求a的取值范围.

查看答案和解析>>

科目:高中数学 来源: 题型:

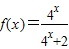
已知函数y=ax(a>0且a≠1)在[1,2]上的最大值与最小值之和为20,记f(x)=
ax
ax+2

(1)求a的值;
(2)证明:f(x)+f(1-x)=1;
(3)求f(
1
2013
)+f(
2
2013
)+f(
3
2013
)+…+f(
2010
2013
)+f(
2011
2013
)+f(
2012
2013
)的值.

查看答案和解析>>

科目:高中数学 来源: 题型:

已知函数y=
ax+1
(a<0)
在区间(-∞,1]恒有意义,则实数a的取值范围是
[-1,0)
[-1,0)

查看答案和解析>>

科目:高中数学 来源: 题型:

已知函数y=ax(a>0且a≠1)在区间[-2,2]上的函数值恒小于2,则a的取值范围是
{a|1<a<
2
2
<a<1}
{a|1<a<
2
2
<a<1}

查看答案和解析>>

科目:高中数学 来源: 题型:

已知函数y=ax(a>1)在区间[1,2]上的最大值与最小值之差为2,则实数a的值为(  )
A、
2
B、2
C、3
D、4

查看答案和解析>>

同步练习册答案