设f(x)是定义域为R的奇函数,g(x)是定义域为R的恒大于零的函数,且当x>0时有f′(x)g(x)<f(x)g′(x).若f(1)=0,则不等式f(x)>0的解集是( )
A.(-∞,-1)∪(1,+∞)
B.(-1,0)∪(0,1)
C.(-∞,-1)∪(0,1)
D.(-1,0)∪(1,+∞)
【答案】
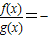
分析:首先,因为g(x)是定义域为R的恒大于零的函数,所以f(x)>0式的解集等价于

>0的解集.由当x>0时有f′(x)g(x)<f(x)g′(x),可以证明

的单调性,从而使问题得解.
解答:解:首先,因为g(x)是定义域为R的恒大于零的函数,所以f(x)>0式的解集等价于

>0的解集.
下面我们重点研究

的函数特性.因为当x>0,f'(x)g(x)<f(x)g'(x),所以当x>0,

.也就是

,当x>0时,是递减的.
由f(1)=0得

=0.所以有递减性质,(0,1)有

0.
由f(x)是奇函数,f(-1)=0,x<-1时,


>0 不等f(x)>0式的解集是(-∞,-1)∪(0,1),
故选C.
点评:解答本题的关键是根据已知条件,结合奇函数的性质,找出函数的零点,并以零点为端点将定义域分为几个不同的区间,然后在每个区间上结合函数的单调性进行讨论,这是分类讨论思想在解决问题的巨大作用的最好体现,分类讨论思想往往能将一个复杂的问题的简单化,是高中阶段必须要掌握的一种方法.