精英家教网 > 高中数学 > 题目详情

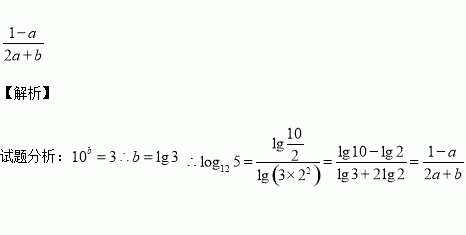
已知,用表示=___________.

练习册系列答案
相关习题

科目:高中数学 来源:2016届云南省玉溪市高三上学期期中理科数学试卷(解析版) 题型:选择题

阅读下边的程序框图,运行相应的程序,则输出的值为( )

A.3 B.4 C.5 D.6

查看答案和解析>>

科目:高中数学 来源:2015-2016学年江西南昌二中高二上学期期中文科数学试卷(解析版) 题型:解答题

(本小题满分12分)已知直线,双曲线.①若直线与双曲线的其中一条渐近线平行,求双曲线的离心率;②若直线过双曲线的右焦点,与双曲线交于两点,且,求双曲线方程。

查看答案和解析>>

科目:高中数学 来源:2015-2016学年吉林实验中学高二上学期期中文科数学试卷(解析版) 题型:解答题

(本题满分12分)

已知圆,圆,动圆与圆外切并且与圆内切,圆心的轨迹为曲线

(1)求曲线的轨迹方程;

(2)是与圆以及圆都相切的一条直线,与曲线交于两点,当圆的半径最长时,

的长.

查看答案和解析>>

科目:高中数学 来源:2015-2016学年吉林实验中学高二上学期期中理科数学试卷(解析版) 题型:填空题

若圆的半径为,其圆心与点关于直线对称,则圆的标准方程为________.

查看答案和解析>>

科目:高中数学 来源:2015-2016学年湖北省高一上学期期中数学试卷(解析版) 题型:解答题

(本大题满分12分)已知集合

(1)若,求

(2)若,求实数的取值范围.

查看答案和解析>>

科目:高中数学 来源:2015-2016学年广东省佛山市高一上学期期中数学试卷(解析版) 题型:选择题

的图象关于直线对称后,再向右平行移动一个单位所得图象表示的函数的解析式是 ( )

A. D.

查看答案和解析>>

科目:高中数学 来源:2015-2016学年甘肃省嘉峪关市高二上学期期中考试文科数学试卷(解析版) 题型:选择题

的等比中项,则的最小值为 ( )

A. B. C. D.

查看答案和解析>>

科目:高中数学 来源:2015-2016学年浙江省宁波市高一上期中数学试卷(解析版) 题型:选择题

已知,则的值为( )

A.0 B. C.2 D.

查看答案和解析>>

同步练习册答案