精英家教网 > 高中数学 > 题目详情

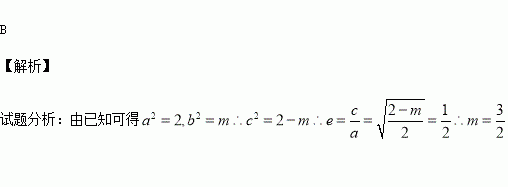
若焦点在轴上的椭圆的离心率为,则m= ( )

A. B. C. D.

练习册系列答案
相关习题

科目:高中数学 来源:2016届吉林省高三上学期第一次模拟理科数学试卷(解析版) 题型:选择题

如图,设区域,向区域内随机投一点,且投入到区域内任一点都是等可能的,则点落到阴影区域内的概率是( )

(A) (B) (C) (D)

查看答案和解析>>

科目:高中数学 来源:2016届河北省高三二调理科数学试卷(解析版) 题型:解答题

(本小满分12分)已知函数)的最小正周期为

(1)求函数在区间上的最大值和最小值;

(2)在中,分别为角所对的边,且,求角的大小;

(3)在(2)的条件下,若,求的值.

查看答案和解析>>

科目:高中数学 来源:2016届山东省乳山市高三10月月考理科数学试卷(解析版) 题型:填空题

定义在上的偶函数满足,且在上是增函数,下面是关于的判断:

的图像关于点P()对称

的图像关于直线对称;

在[0,1]上是增函数;

其中正确的判断是____________________(把你认为正确的判断都填上)

查看答案和解析>>

科目:高中数学 来源:2015-2016学年黑龙江省牡丹江市高一上学期9月月考数学试卷(解析版) 题型:选择题

已知函数定义域是,则的定义域 ( )

A. B. C. D.

查看答案和解析>>

科目:高中数学 来源:2015-2016学年河北省高一10月月考数学试卷(解析版) 题型:选择题

已知函数的图象恒过定点P,则P点的坐标为( )

A.(0,1) B.(-1,-1) C.(-1,1) D.(1,-1)

查看答案和解析>>

科目:高中数学 来源:2015-2016学年河北省高二上学期第二次月考文数学试卷(解析版) 题型:选择题

学校为了调查学生在课外读物方面的支出情况,抽出了一个容量为n的样本,其频率分布直方图如图所示,其中支出在元的同学有39人,则n的值为

A.100 B.120 C.130 D.390

查看答案和解析>>

科目:高中数学 来源:2015-2016学年广西钦州港开发区中学高二上第一次月考理科数学试卷(解析版) 题型:选择题

已知实数满足,则的最大值为( )

A. B.0 C. D.

查看答案和解析>>

科目:高中数学 来源:2015-2016学年甘肃天水秦安二中高二上学期第一次月考文科数学试卷(解析版) 题型:选择题

已知x与y之间的一组数据:

x

0

1

2

3

y

m

3

5.5

7

已求得关于y与x的线性回归方程=2.1x+0.85,则m的值为( )

A.0.85 B.0.75 C.0.6 D.0.5

查看答案和解析>>

同步练习册答案