精英家教网 > 高中数学 > 题目详情

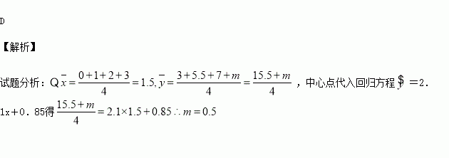
已知x与y之间的一组数据:

x

0

1

2

3

y

m

3

5.5

7

已求得关于y与x的线性回归方程=2.1x+0.85,则m的值为( )

A.0.85 B.0.75 C.0.6 D.0.5

练习册系列答案
相关习题

科目:高中数学 来源:2015-2016学年河北省邯郸市高二上第二次月考文科数学试卷(解析版) 题型:选择题

若焦点在轴上的椭圆的离心率为,则m= ( )

A. B. C. D.

查看答案和解析>>

科目:高中数学 来源:2015-2016学年广东省高一下学期期初考试数学试卷(解析版) 题型:解答题

(12分)已知函数f(x)=ax2+bx+1(a,b为常数),x∈R.F(x)=

(1)若f(-1)=0,且函数f(x)的值域为[0,+∞),求F(x)的表达式;

(2)在(1)的条件下,当x∈[-2,2]时,g(x)=f(x)-kx是单调函数,求实数k的取值范围;

(3)设m·n<0,m+n>0,a>0,且f(x)为偶函数,判断F(m)+F(n)能否大于零?

查看答案和解析>>

科目:高中数学 来源:2015-2016学年福建省福安市高二上学期第一次月考试数学试卷(解析版) 题型:选择题

在等比数列中,,则等于

A. B.9 C. D.8

查看答案和解析>>

科目:高中数学 来源:2015-2016学年甘肃天水一中高二上学期第一次段中考试理科数学试卷(解析版) 题型:选择题

已知数列满足,则数列的最小值是

A.15 B.14 C.17 D.18

查看答案和解析>>

科目:高中数学 来源:2015-2016学年河北省高二10月月考数学试卷(解析版) 题型:填空题

如图,在中,是边上的点,且,则=________.

查看答案和解析>>

科目:高中数学 来源:2015-2016学年河北省高二上学期第一次月考试数学试卷(解析版) 题型:选择题

中,,则( )

A. B. C. D.

查看答案和解析>>

科目:高中数学 来源:2015-2016学年陕西省西安市高一第一次月考数学试卷(解析版) 题型:解答题

(12分) 定义在[-1,1]上的奇函数f(x)是减函数,且f(1-a)+f (1-a2)>0,求实数a的取值范围.

查看答案和解析>>

科目:高中数学 来源:2015-2016学年湖北省武汉市硚口区高二9月调研考试文科数学试卷(解析版) 题型:选择题

某几何的三视图如图所示,该几何体各个面中,面积最大的是( )

A. B. C.10 D.

查看答案和解析>>

同步练习册答案