精英家教网 > 高中数学 > 题目详情

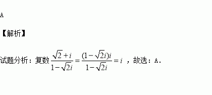
复数()

A. B. C. D.

练习册系列答案
相关习题

科目:高中数学 来源:2015-2016学年甘肃省张掖市高二上学期10月月考理科数学试卷(解析版) 题型:填空题

数列{an}满足,则{an}的前项和为

查看答案和解析>>

科目:高中数学 来源:2016届江西省名校学术联盟高三第一次调研一理科数学试卷(解析版) 题型:选择题

若复数是虚数单位)是纯虚数,则复数的共轭复数是

A. B. C. D.

查看答案和解析>>

科目:高中数学 来源:2016届吉林省长春市高三质量监测理科数学试卷(解析版) 题型:选择题

已知集合,则( )

A. B. C. D.

查看答案和解析>>

科目:高中数学 来源:2014-2015学年东北三省等三校高三第一次模拟文科数学试卷(解析版) 题型:解答题

(12分)在平面直角坐标系xOy中,已知动圆过点(2,0),且被y轴所截得的弦长为4.

(Ⅰ)求动圆圆心的轨迹C1的方程;

(Ⅱ)过点P(1,2)分别作斜率为的两条直线,交C1于A,B两点(点A,B异于点P),若,且直线AB与圆相切,求△PAB的面积.

查看答案和解析>>

科目:高中数学 来源:2014-2015学年东北三省等三校高三第一次模拟理科数学试卷(解析版) 题型:选择题

是公差不为零的等差数列的前n项和,且,若,则当最大时,n=( )

A.6 B.7 C.10 D.9

查看答案和解析>>

科目:高中数学 来源:2014-2015学年山东省潍坊市诸城市四县高二下学期期末理科数学试卷(解析版) 题型:解答题

某食品企业一个月内被消费者投诉的次数用ξ表示,椐统计,随机变量ξ的概率分布如下:

(Ⅰ)求a的值和ξ的数学期望;

(Ⅱ)假设一月份与二月份被消费者投诉的次数互不影响,求该企业在这两个月内共被消费者投诉2次的概率.

查看答案和解析>>

科目:高中数学 来源:2014-2015学年吉林省高二下学期期末理科数学试卷(解析版) 题型:解答题

淘宝卖家在某商品的所有买家中,随机选择男女买家各50名进行调查,他们的评分等级如下表:

(1)从评分等级为(4,5]的人中随机选取两人,求恰有一人是男性的概率;

(2)规定:评分等级在[0,3]内为不满意该商品,在(3,5]内为满意该商品.完成下列2×2列联表并帮助卖家判断:能否在犯错误的概率不超过0.05的前提下认为满意该商品与性别有关系?

参考数据:

(参考公式:,其中n=a+b+c+d)

查看答案和解析>>

科目:高中数学 来源:2016届山东省高三上学期开学考试理科数学试卷(解析版) 题型:选择题

函数y=ax3-x在(-∞,+∞)上的减区间是[-1,1],则

A. B.a=1 C.a=2 D.a≤0

查看答案和解析>>

同步练习册答案