精英家教网 > 高中数学 > 题目详情

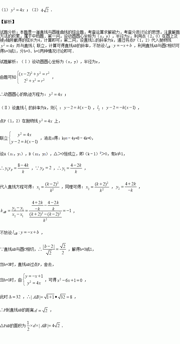
(12分)在平面直角坐标系xOy中,已知动圆过点(2,0),且被y轴所截得的弦长为4.

(Ⅰ)求动圆圆心的轨迹C1的方程;

(Ⅱ)过点P(1,2)分别作斜率为的两条直线,交C1于A,B两点(点A,B异于点P),若,且直线AB与圆相切,求△PAB的面积.

练习册系列答案
相关习题

科目:高中数学 来源:2015-2016学年河北邯郸曲周县一中高二上学期第二次月考理科数学卷(解析版) 题型:填空题

命题“若实数a满足a≤3,则a2<9”的否命题是 命题(填“真”或“假”).

查看答案和解析>>

科目:高中数学 来源:2016届江西省名校学术联盟高三第一次调研一理科数学试卷(解析版) 题型:解答题

(本小题满分12分)

已知函数,且曲线在点处的切线与直线平行.

(1)求的值;

(2)判断函数的单调性;

(3)求证:当时,

查看答案和解析>>

科目:高中数学 来源:2016届吉林省长春市高三质量监测理科数学试卷(解析版) 题型:解答题

(本小题满分10分) 选修4—1:几何证明选讲.

已知中, ,以点为圆心,以为半径的圆分别交,于两,两点,且为该圆的直径.

(1)求证: ;

(2)若.求的长.

查看答案和解析>>

科目:高中数学 来源:2016届安徽省高三第一次联考理科数学试卷(解析版) 题型:填空题

将4为大学生分配到三个工厂参加实习活动,其中工厂只能安排1为大学生,其余工厂至少安排1位大学生,且甲同学不能分配到工厂,则不同的分配方案种数是

查看答案和解析>>

科目:高中数学 来源:2014-2015学年东北三省等三校高三第一次模拟文科数学试卷(解析版) 题型:选择题

复数()

A. B. C. D.

查看答案和解析>>

科目:高中数学 来源:2014-2015学年西藏拉萨中学高二下学期期末理科数学试卷(解析版) 题型:解答题

(10分)(2013秋•福州期末)设函数,其中.已知处取得极值.

(1)求的解析式;

(2)求在点处的切线方程.

查看答案和解析>>

科目:高中数学 来源:2014-2015学年江苏省南通市高二下学期期末文科数学试卷(解析版) 题型:解答题

己知函数,且,

(Ⅰ)求的最大值与最小值;

(Ⅱ)求的单调增区间.

查看答案和解析>>

科目:高中数学 来源:2016届山东省高三上学期开学考试文科数学试卷(解析版) 题型:选择题

已知,y,则

A. B. C. D.

查看答案和解析>>

同步练习册答案