精英家教网 > 高中数学 > 题目详情

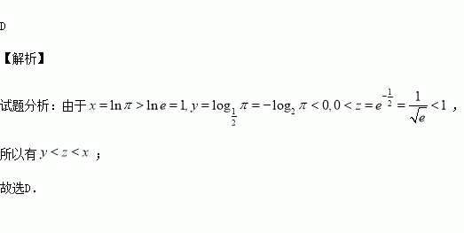
已知,y,则

A. B. C. D.

练习册系列答案
相关习题

科目:高中数学 来源:2014-2015学年东北三省等三校高三第一次模拟文科数学试卷(解析版) 题型:解答题

(12分)在平面直角坐标系xOy中,已知动圆过点(2,0),且被y轴所截得的弦长为4.

(Ⅰ)求动圆圆心的轨迹C1的方程;

(Ⅱ)过点P(1,2)分别作斜率为的两条直线,交C1于A,B两点(点A,B异于点P),若,且直线AB与圆相切,求△PAB的面积.

查看答案和解析>>

科目:高中数学 来源:2014-2015学年湖北省宜昌市高二下学期期末文科数学试卷(解析版) 题型:填空题

在平面直角坐标系中,若曲线(e为自然对数的底数)处的切线与直线垂直,则实数a的值为

查看答案和解析>>

科目:高中数学 来源:2016届重庆市高三10月月考文科数学试卷(解析版) 题型:选择题

已知是定义在R上周期为2的奇函数,当x∈(0,1)时,=3x?1,则

f(log35)=( )

A、 B、? C、4 D、

查看答案和解析>>

科目:高中数学 来源:2016届重庆市高三10月月考理科数学试卷(解析版) 题型:选择题

设集合A={x|},B={y|y=x2},则A∩B=( )

A.[-2,2] B.[0,2]

C.[0,+∞) D.{(-2,4),(2,4)}

查看答案和解析>>

科目:高中数学 来源:2016届山东省高三上学期开学考试理科数学试卷(解析版) 题型:选择题

函数y=ax3-x在(-∞,+∞)上的减区间是[-1,1],则

A. B.a=1 C.a=2 D.a≤0

查看答案和解析>>

科目:高中数学 来源:2016届宁夏银川市高三上学期统练二文科数学试卷(解析版) 题型:选择题

在等差数列中,为其前n项和,若=8,则( )

A.16 B.24 C.32 D.40

查看答案和解析>>

科目:高中数学 来源:2016届吉林省高三上学期第一次模拟文科数学试卷(解析版) 题型:选择题

阅读右面的程序框图,若输出的,则输入的的值可能为( )

A. B. C. D.

查看答案和解析>>

科目:高中数学 来源:2016届河北省高三上第二次月考文科数学试卷A(解析版) 题型:解答题

(本小题满分10分)已知,且

(1)求的值;

(2)若,求的值.

查看答案和解析>>

同步练习册答案