精英家教网 > 高中数学 > 题目详情

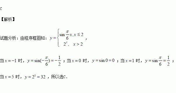
阅读右面的程序框图,若输出的,则输入的的值可能为( )

A. B. C. D.

练习册系列答案
相关习题

科目:高中数学 来源:2014-2015学年江苏省南通市高二下学期期末文科数学试卷(解析版) 题型:解答题

己知函数,且,

(Ⅰ)求的最大值与最小值;

(Ⅱ)求的单调增区间.

查看答案和解析>>

科目:高中数学 来源:2016届山东省高三上学期开学考试文科数学试卷(解析版) 题型:选择题

已知,y,则

A. B. C. D.

查看答案和解析>>

科目:高中数学 来源:2016届宁夏银川市高三上学期统练二理科数学试卷(解析版) 题型:选择题

在△ABC中,M为边BC上任意一点,N为AM的中点,,则λ+μ的值为( )

A. B. C. D.1

查看答案和解析>>

科目:高中数学 来源:2016届江西省高三上学期第一次考试理科数学试卷(解析版) 题型:选择题

已知函数的定义域为集合A,集合,则( )

A. B. C. D.

查看答案和解析>>

科目:高中数学 来源:2016届吉林省高三上学期第一次模拟理科数学试卷(解析版) 题型:选择题

若关于x的方程有三个不同的实数解,则实数a的取值范围为( )

(A) (B) (C) (D)

查看答案和解析>>

科目:高中数学 来源:2016届湖北省高三9月调考文科数学试卷(解析版) 题型:选择题

以下有关命题的说法错误的是 ( )

A.命题“若,则”的逆否命题为“若

B.“”是“”的充分不必要条件

C.若为假命题,则均为假命题

D.对于命题

查看答案和解析>>

科目:高中数学 来源:2016届黑龙江省高三第一段考理科数学试卷(解析版) 题型:解答题

(本小题满分12分)已知曲线在点处的切线的斜率为1.

(1)若函数f(x)的图象在上为减函数,求的取值范围;

(2)当时,不等式恒成立,求a的取值范围.

查看答案和解析>>

科目:高中数学 来源:2013-2014学年辽宁省高考前最后模拟文科数学试卷(解析版) 题型:填空题

已知双曲线)的焦距为,若三数顺次组成一个等比数列,则其离心率为

查看答案和解析>>

同步练习册答案