精英家教网 > 高中数学 > 题目详情
已知函数f(x)=-x3+ax2-4,
(1)若f(x)在处取得极值,求实数a的值;
(2)在(1)的条件下,若关于x的方程f(x)=m在[-1,1]上恰有两个不同的实数根,求实数m的取值范围;
(3)若存在x0∈(0,+∞),使得不等式f(x0)>0成立,求实数a的取值范围。
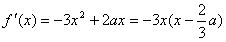
解:(1)
由题意,得
解得:
经检验满足条件。
(2)由(1)知,,则
,则(舍去),
当x变化时,的变化情况见下表:

x

-1

(-1,0)

0

(0,1)

1

 

-

0

+

 

-1

递减

极小值-4

递增

极大值-3

∵关于x的方程在[-1,1]上恰有两个不同的实数根,

(3)由题意,得


①若,则当时,
上单调递增,

∴当时,
∴当时,不存在,使
②当a>0时,随x的变化情况见下表:

x

,+∞)

+

0

-

递增

极大值

递减

∴当时,

综上,得
练习册系列答案
相关习题

科目:高中数学 来源: 题型:

已知函数f(x)=sinxcosφ+cosxsinφ(其中x∈R,0<φ<π).
(1)求函数f(x)的最小正周期;
(2)若函数y=f(2x+
π
4
)
的图象关于直线x=
π
6
对称,求φ的值.

查看答案和解析>>

科目:高中数学 来源: 题型:

已知函数f(x)为定义在R上的奇函数,且当x>0时,f(x)=(sinx+cosx)2+2cos2x,
(1)求x<0,时f(x)的表达式;
(2)若关于x的方程f(x)-a=o有解,求实数a的范围.

查看答案和解析>>

科目:高中数学 来源: 题型:

已知函数f(x)=aInx-ax,(a∈R)
(1)求f(x)的单调递增区间;(文科可参考公式:(Inx)=
1
x

(2)若f′(2)=1,记函数g(x)=x3+x2[f(x)+
m
2
]
,若g(x)在区间(1,3)上总不单调,求实数m的范围.

查看答案和解析>>

科目:高中数学 来源: 题型:

已知函数f(x)=x2-bx的图象在点A(1,f(1))处的切线l与直线3x-y+2=0平行,若数列{
1
f(n)
}
的前n项和为Sn,则S2010的值为(  )
A、
2011
2012
B、
2010
2011
C、
2009
2010
D、
2008
2009

查看答案和解析>>

科目:高中数学 来源: 题型:

已知函数f(x)是定义在区间(-1,1)上的奇函数,且对于x∈(-1,1)恒有f’(x)<0成立,若f(-2a2+2)+f(a2+2a+1)<0,则实数a的取值范围是
 

查看答案和解析>>

同步练习册答案