精英家教网 > 高中数学 > 题目详情

已知函数f(x)=x2+2xtanθ-1,x∈[-1,],其中θ

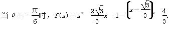
(1)当θ=-时,求函数的最大值和最小值;

(2)求θ的取值范围,使yf(x)在区间[-1,]上是单调函数(在指定区间为增函数或减函数称为该区间上的单调函数).


解 (1)

x∈[-1,],∴当x时,f(x)的最小值为-,当x=-1时,f(x)的最大值为.

(2)f(x)=(x+tanθ)2-1-tan2θ是关于x的二次函数.它的图像的对称轴为x=-tanθ.

yf(x)在区间[-1,]上是单调函数,

∴-tanθ≤-1,或-tanθ,即tanθ≥1,或tanθ≤-.


练习册系列答案
相关习题

科目:高中数学 来源: 题型:


 已知函数f(x)=(x>1),当且仅当x=  时,f(x)取到最小值为  

查看答案和解析>>

科目:高中数学 来源: 题型:


已知600°角终边上有一点,则的值为_____________

查看答案和解析>>

科目:高中数学 来源: 题型:


如图所示是yAsin(ωxφ)(A>0,ω>0)的图象的一段,它的一个解析式为(  ).

A.ysin                    B.ysin

C.ysin                     D.ysin

查看答案和解析>>

科目:高中数学 来源: 题型:


有下列说法:

①函数y=-cos 2x的最小正周期是π;②终边在y轴上的角的集合是;③在同一直角坐标系中,函数y=sin x的图象和函数yx的图象有三个公共点;④把函数y=3sin的图象向右平移个单位长度得到函数y=3sin 2x的图象;⑤函数y=sin在[0,π]上是减函数.

其中,正确的说法是________.

查看答案和解析>>

科目:高中数学 来源: 题型:


已知二次函数的导数为,,对于任意实数都有,则的最小值为(      )

          A.           B.           C.         D.

 

查看答案和解析>>

科目:高中数学 来源: 题型:


用数学归纳法证明“5n-2n能被3整除”的第二步中,nk+1时,为了使用假设,应将5k+1-2k+1变形为(  ).

   A.(5k-2k)+4×5k-2k      B.5(5k-2k)+3×2k

   C.(5-2)(5k-2k)          D.2(5k-2k)-3×5k

查看答案和解析>>

科目:高中数学 来源: 题型:


设变量x,y满足约束条件,则目标函数的最大值为(  )

(A)10    (B)11    (C)12    (D)14

查看答案和解析>>

科目:高中数学 来源: 题型:


函数的最小值是      ,此时       .

 

查看答案和解析>>

同步练习册答案