精英家教网 > 高中数学 > 题目详情

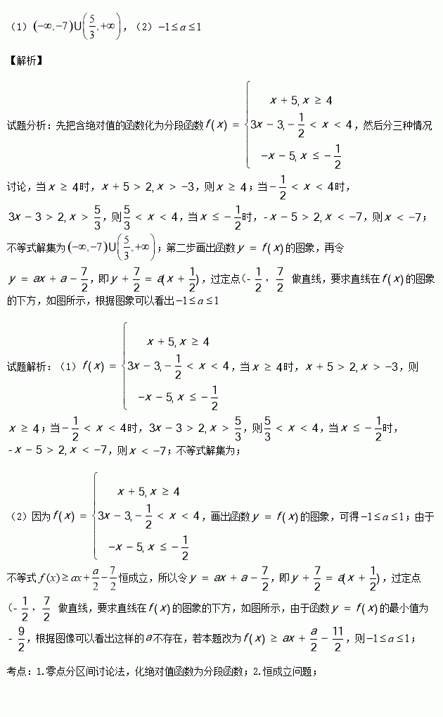
(本小题满分10分)选修4—5,不等式选讲

已知函数

(1) 解关于的不等式

(2)若不等式恒成立,求实数的取值范围;

练习册系列答案
相关习题

科目:高中数学 来源:2014-2015学年山东省枣庄市4月模拟考试文科数学试卷(解析版) 题型:选择题

等差数列中,,则该数列前13项的和是

A.13 B.26 C.52 D.156

查看答案和解析>>

科目:高中数学 来源:2014-2015学年山东省烟台市高三下学期一模文科数学试卷(解析版) 题型:选择题

将函数)的图象分别向左.向右各平移个单位后,所得的两个图象的对称轴重合,则的最小值为( )

A. B. C. D.

查看答案和解析>>

科目:高中数学 来源:2014-2015学年江西省上饶市高三六校第一次联考文科数学试卷(解析版) 题型:选择题

如图,圆上一定点A(0,1),一动点M从

A点开始逆时针绕圆运动一周,并记由射线OA按逆时针方

向绕O点旋转到射线OM所形成的∠AOM为,直线AM

与X轴交于点N(t,0),则函数t =的图像大致为( )

查看答案和解析>>

科目:高中数学 来源:2014-2015学年江西省上饶市高三六校第一次联考文科数学试卷(解析版) 题型:选择题

执行如图所示的程序框图,则输出S的值是( )

A. B. C. D.

查看答案和解析>>

科目:高中数学 来源:2014-2015学年江西省上饶市高三六校第一次联考理科数学试卷(解析版) 题型:解答题

(本小题满分10分)某研究性学习小组对某花卉种子的发芽率与昼夜温差之间的关系进行研究.他们分别记录了3月1日至3月5日的昼夜温差及每天30颗种子的发芽数,并得到如下资料:

日期

3月1日 

3月2日 

3月3日 

3月4日 

3月5日 

温差x (度)

10

11

13

12

9

发芽数y(颗)

15

16

17

14

13

参考数据 ,其中

(1)请根据3月1日至3月5日的数据,求出y关于x的线性回归方程.据气象预报3月6日的昼夜温差为11℃,请预测3月6日浸泡的30颗种子的发芽数.(结果保留整数)

(2)从3月1日至3月5日中任选两天,记种子发芽数超过15颗的天数为X,求X的概率分布列,并求其数学期望和方差.

查看答案和解析>>

科目:高中数学 来源:2014-2015学年江西省上饶市高三六校第一次联考理科数学试卷(解析版) 题型:选择题

已知双曲线的两条渐近线与抛物线的准线分别交于点,O为坐标原点。若双曲线的离心率为2,三角形AOB的面积为,则p=( )。

A.1 B. C.2 D.3

查看答案和解析>>

科目:高中数学 来源:2014-2015学年江苏省淮安市高三四统测模拟测试数学试卷(解析版) 题型:填空题

设函数是定义在上的奇函数,当时,,其中,若对任意的,都有,则实数的取值范围为 .

查看答案和解析>>

科目:高中数学 来源:2014-2015学年吉林省长春市高三质量监测三文科数学试卷(解析版) 题型:解答题

(本小题满分10分)选修4-4:坐标系与参数方程

在直角坐标系中,圆的参数方程为为参数).

(1)以原点为极点、轴正半轴为极轴建立极坐标系,求圆的极坐标方程;

(2)已知,圆上任意一点,求面积的最大值.

查看答案和解析>>

同步练习册答案