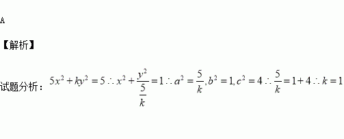
精英家教网 > 高中数学 > 题目详情

椭圆的一个焦点是,那么实数的值为( )

A.1 B.-1 C.25 D.-25

练习册系列答案
相关习题

科目:高中数学 来源:2015-2016学年宁夏石嘴山三中高二上期中文科数学试卷(解析版) 题型:选择题

若样本的频率分布直方图中一共有个小矩形,中间一个小矩形的面积等于其余个小矩形

面积和的,且样本容量为160,则中间一组的频数是( )

A.32 B.20 C.40 D.25

查看答案和解析>>

科目:高中数学 来源:2015-2016学年江苏省盱眙、洪泽等校高一上学期期中联考数学试卷(解析版) 题型:解答题

计算:

(1)

(2)

查看答案和解析>>

科目:高中数学 来源:2015-2016学年江苏省淮安市高二上学期期中考试数学试卷(解析版) 题型:填空题

已知是两条不同直线,、β、γ是三个不同平面.下列命题中正确的是

(1).若⊥γ,β⊥γ,则//β

(2).若,则//

(3).若////,则//

(4).若////β,则//β

查看答案和解析>>

科目:高中数学 来源:2015-2016学年福建省四地六校高二上学期11月月考文科数学试卷(解析版) 题型:选择题

从1,2,3,4中任取2个不同的数,则取出的2个数之差的绝对值不小于2的概率是( )

A. B. C. D.

查看答案和解析>>

科目:高中数学 来源:2015-2016学年福建省龙海市高二上学期期中理科数学试卷(解析版) 题型:选择题

在长为10㎝的线段AB上任取一点P,并以线段AP为边作正方形,这个正方形的面积介于25cm2与64 cm2之间的概率为 ( )

(A) (B) (C) (D)

查看答案和解析>>

科目:高中数学 来源:2016届中国人大附中高三上期中检测文科数学试卷(解析版) 题型:解答题

已知函数

(1)若处与直线相切,求a,b的值;

(2)在(1)的条件下,求上的最大值;

(3)若不等式对所有的都成立,求a的取值范围.

查看答案和解析>>

科目:高中数学 来源:2016届山东省高三上开学考试文科数学试卷(解析版) 题型:填空题

,向量,且,则

查看答案和解析>>

科目:高中数学 来源:2015-2016学年浙江省高二上期中数学试卷(解析版) 题型:选择题

如图,正方形的棱长为1,过点作平面的垂线,垂足为点,则以下命题中,错误的命题是( )

A.点的垂心

B.垂直平面

C.的延长线经过点

D.直线所成角为

查看答案和解析>>

同步练习册答案