精英家教网 > 高中数学 > 题目详情

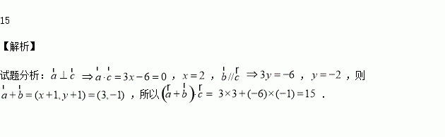
,向量,且,则

练习册系列答案
相关习题

科目:高中数学 来源:2015-2016学年吉林省高二上期中理科数学试卷(解析版) 题型:解答题

直线过点,且与椭圆交于两点,是坐标原点.

(Ⅰ)若点是弦的中点,求直线的方程;

(Ⅱ)若直线过椭圆的左焦点,求数量积的值.

查看答案和解析>>

科目:高中数学 来源:2015-2016学年福建省四地六校高二上学期11月月考理科数学试卷(解析版) 题型:选择题

椭圆的一个焦点是,那么实数的值为( )

A.1 B.-1 C.25 D.-25

查看答案和解析>>

科目:高中数学 来源:2016届中国人大附中高三上期中检测文科数学试卷(解析版) 题型:选择题

已知集合,集合,则( )

A. B. C. D.

查看答案和解析>>

科目:高中数学 来源:2016届浙江省高三上学期期中理科数学试卷(解析版) 题型:填空题

已知非零向量满足,则的最小值是 ,最大值是

查看答案和解析>>

科目:高中数学 来源:2016届山东省高三上开学考试理科数学试卷(解析版) 题型:填空题

设不等式组表示的平面区域为,在区域内随机取一点,则点落在圆内的概率为

查看答案和解析>>

科目:高中数学 来源:2016届湖南省六校高三12月联考文科数学卷(解析版) 题型:选择题

已知是公差不为的等差数列的前项和,且成等比数列,则等于( )

A. B. C. D.

查看答案和解析>>

科目:高中数学 来源:2016届安徽省等高三第三次联考理科数学试卷(解析版) 题型:选择题

定义在区间上的函数的值域是,则的最大值和最小值分别是( )

A.

B.

C.

D.

查看答案和解析>>

科目:高中数学 来源:2015-2016学年四川树德、雅安中学高一10月考试数学卷(解析版) 题型:解答题

解下列关于不等式.

(1)

(2)

查看答案和解析>>

同步练习册答案