精英家教网 > 高中数学 > 题目详情

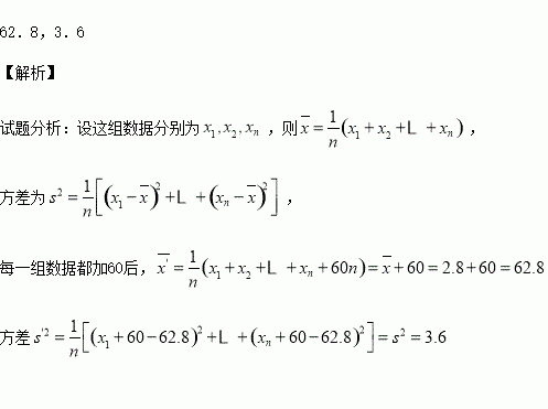
一组数据的平均数是2.8,方差是3.6,若将这组数据中的每一个数据都加上60,得 到一组新的数据,则所得的新数据的平均数和方差分别是__________.

练习册系列答案
相关习题

科目:高中数学 来源:2015-2016学年浙江省高二上学期期中数学试卷(解析版) 题型:选择题

已知不等式组表示的平面区域为D,若函数的图象上存在区域D上的点,则实数m的取值范围是( )

A. B. C. D.

查看答案和解析>>

科目:高中数学 来源:2015-2016学年四川省实验学校高二上学期期中理科数学试卷(解析版) 题型:填空题

已知直线y=(3a﹣1)x﹣1,为使这条直线经过第一、三、四象限,则实数a的取值范围是 _________

查看答案和解析>>

科目:高中数学 来源:2015-2016学年陕西省西安市高二上学期期中考试理科数学试卷(解析版) 题型:选择题

为非零实数,且,则下列不等式成立的是( )

A. B. C. D.

查看答案和解析>>

科目:高中数学 来源:2015-2016学年辽宁省葫芦岛市高一上学期期中考试数学试卷(解析版) 题型:选择题

已知函数y=f(x)是偶函数,其图象与x轴有四个交点,则方程f(x)=0的所有实根之和是( )

A.0 B.1 C.2 D.4

查看答案和解析>>

科目:高中数学 来源:2015-2016学年江西铅山一中 、横峰中学高二上学期期中理科数学卷(解析版) 题型:选择题

如果,那么的值等于( )

A.-1 B.-2 C.0 D.2

查看答案和解析>>

科目:高中数学 来源:2015-2016学年黑龙江省高二上学期期中数学试卷(解析版) 题型:选择题

有40件产品,编号从1到40,从中抽取4件检验,用系统抽样方法确定所抽的编号可能为 ( )

A.5,10,15,20 B.5,8,31,36

C.2,14,26,38 D.2,12,22,32

查看答案和解析>>

科目:高中数学 来源:2015-2016学年江苏省无锡市四校高二上学期期中考试数学试卷(解析版) 题型:解答题

已知直线与圆C:相交于A,B两点,弦AB中点为M(0,1),

(1)求实数的取值范围以及直线的方程;

(2)若圆C上存在四个点到直线的距离为,求实数a的取值范围;

(3)已知N(0,﹣3),若圆C上存在两个不同的点P,使,求实数的取值范围.

查看答案和解析>>

科目:高中数学 来源:2015-2016学年福建省高二上学期期中考试文科数学试卷(解析版) 题型:选择题

在2和8之间插入3个数,使它们与这两个数依次构成等比数列,则这3个数的积为( )

A.64 B.±64 C.16 D.±16

查看答案和解析>>

同步练习册答案