精英家教网 > 高中数学 > 题目详情

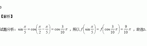
已知,()那么( )

A. B. C. D.

练习册系列答案
相关习题

科目:高中数学 来源:2015-2016学年福建清流一中高二下学期文数段考三数学试卷(解析版) 题型:填空题

已知函数,则=

查看答案和解析>>

科目:高中数学 来源:2015-2016学年四川成都外国语学校高一下期末数学理试卷(解析版) 题型:解答题

如图,在四面体中,截面是平行四边形,

(1)求证:截面

(2)若截面是正方形,求异面直线所成的角.

查看答案和解析>>

科目:高中数学 来源:2015-2016学年四川成都外国语学校高一下期末数学理试卷(解析版) 题型:选择题

函数的最小值为( )

A.2 B.3 C.2 D.2.5

查看答案和解析>>

科目:高中数学 来源:2015-2016学年辽宁庄河市高一下期末数学文试卷(解析版) 题型:填空题

已知,且,则_________

查看答案和解析>>

科目:高中数学 来源:2015-2016学年辽宁庄河市高一下期末数学文试卷(解析版) 题型:选择题

圆柱被一个平面截去一部分后与半球(半径为)组成一个几何体,该几何体的三视图中的正视图和俯视图如图所示,若该几何体的表面积为,则( )

A.1 B. 2 C. 4 D. 8

查看答案和解析>>

科目:高中数学 来源:2015-2016学年辽宁庄河市高一下期末数学理试卷(解析版) 题型:解答题

中,分别是角所对的边,且满足.

(I)求的值;

(II)若,求的面积.

查看答案和解析>>

科目:高中数学 来源:2015-2016学年辽宁庄河市高一下期末数学理试卷(解析版) 题型:选择题

平面直角坐标系中,不等式组为常数)表示的区域面积等于3,则的值为( )

A. B. C. D.

查看答案和解析>>

科目:高中数学 来源:2016届河南新乡名校学术联盟高三高考押题四理数学试卷(解析版) 题型:选择题

已知为满足)能被整除的正数的最小值,则的展开式中,系数最大的项为( )

A.第项 B.第项 C.第项 D.第项和第

查看答案和解析>>

同步练习册答案